• Предмет: Алгебра
  • Автор: Valentina6799
  • Вопрос задан 10 лет назад

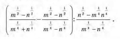
Помогите упростить выражение

Приложения:

Ответы

Ответ дал: bayun1
0
з використанням формул скороченого множення шляхом розкладання на множники
Приложения:
Вас заинтересует