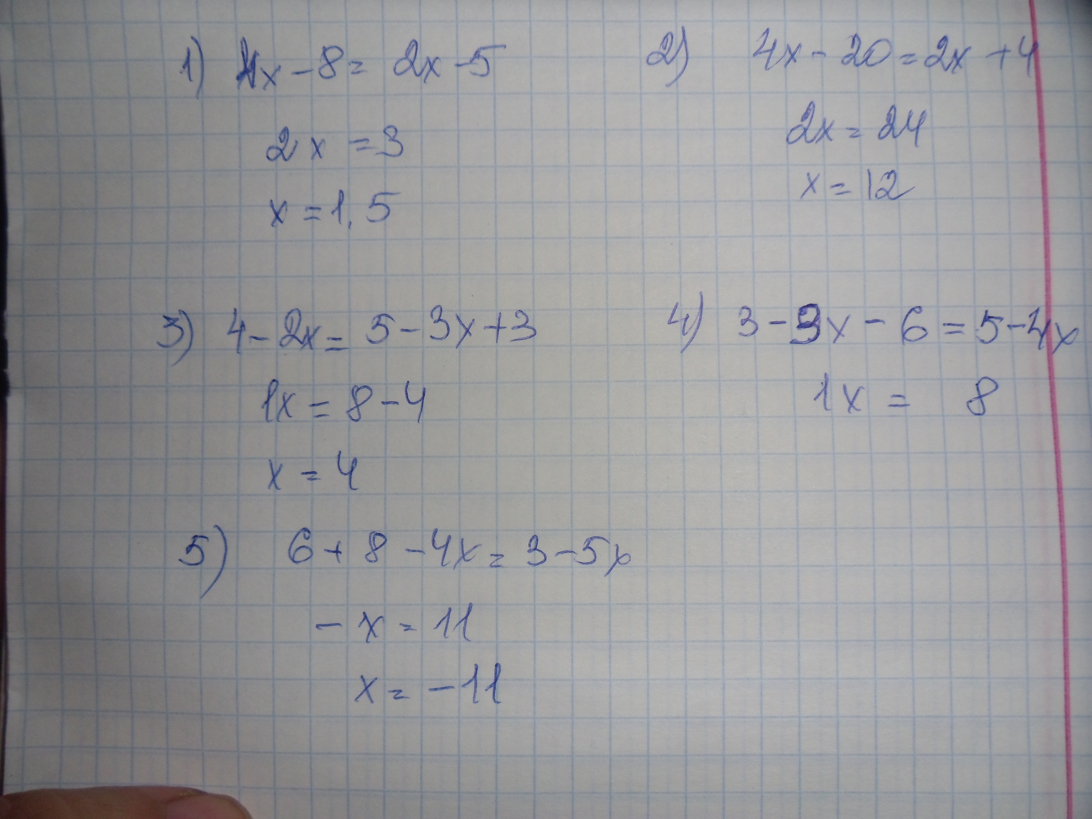
Решить уравнение:
1) 4(x-2)=2x-5
2) 4(x-5)=2x+4
3) 4-2x=5-3(x-1)
4) 3-3(x+2)=5-4x
5) 6+4(2-x)=3-5x
Ответы
Ответ дал:
0
решение во вложении...................
Приложения:

Ответ дал:
0
извини забыл развернуть
Ответ дал:
0
Ничего сама попробую
Ответ дал:
0
3 и 4 неправильно
Ответ дал:
0
исправил .спасибо
Ответ дал:
0
Спасибо
Вас заинтересует
2 года назад
7 лет назад
9 лет назад
10 лет назад