Какая из функций убывающая? если найдете ответ, то объясните, пожалуйста, досконально зачем выбрали данный ответ
Приложения:
Ответы
Ответ дал:
0
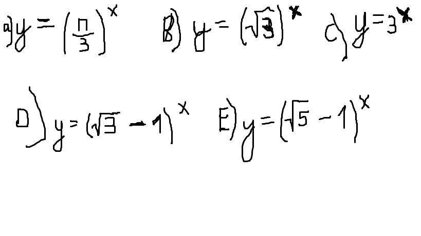
данные функции показательные (переменная х - показатель степени)
определение: функция вида y=a^x , где a>0, а≠1, называется показательной функция. при а больше 1 функция возрастает на всей области определения
возрастающая
возрастающая
возрастающая

убывающая

возрастающая
определение: функция вида y=a^x , где a>0, а≠1, называется показательной функция. при а больше 1 функция возрастает на всей области определения
убывающая
возрастающая
Вас заинтересует
2 года назад
7 лет назад
7 лет назад
10 лет назад
10 лет назад
10 лет назад