a)(1 - sina)(1+sina)
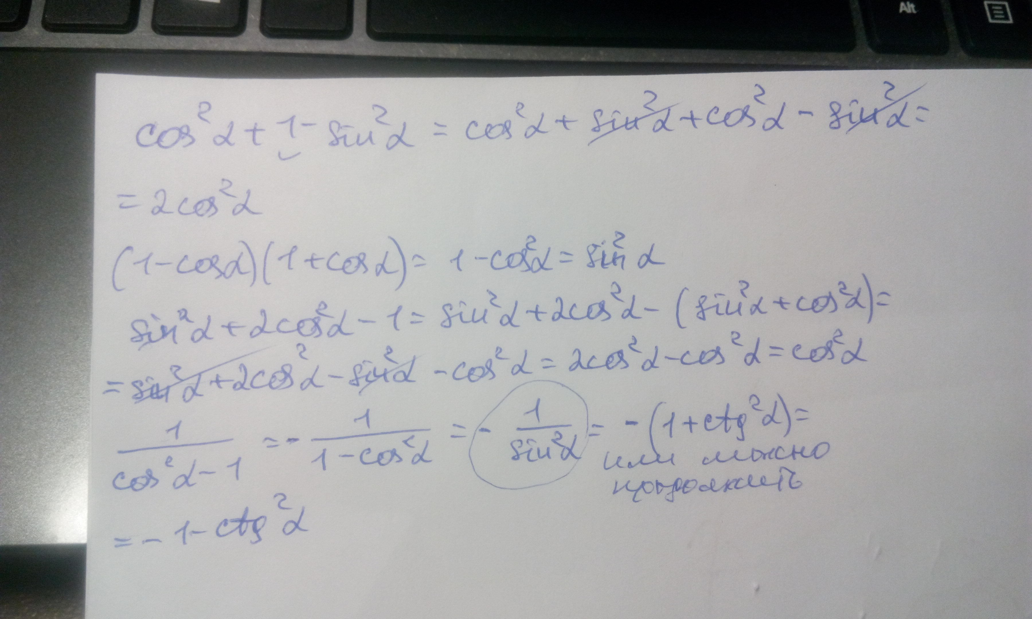
б) cos^2 a + 1 - sin^2a
в)(1-cosa)(1+cosa)
г)sin^2a + 2 cos^a -1
1/cos^2a -1
Ответы
Ответ дал:
0
Всё решаем по формулам.
Приложения:

Вас заинтересует
2 года назад
2 года назад
7 лет назад
9 лет назад
9 лет назад
10 лет назад