• Предмет: Алгебра
  • Автор: ххх1андрей1ххх
  • Вопрос задан 9 лет назад

ребят выручите плиз.
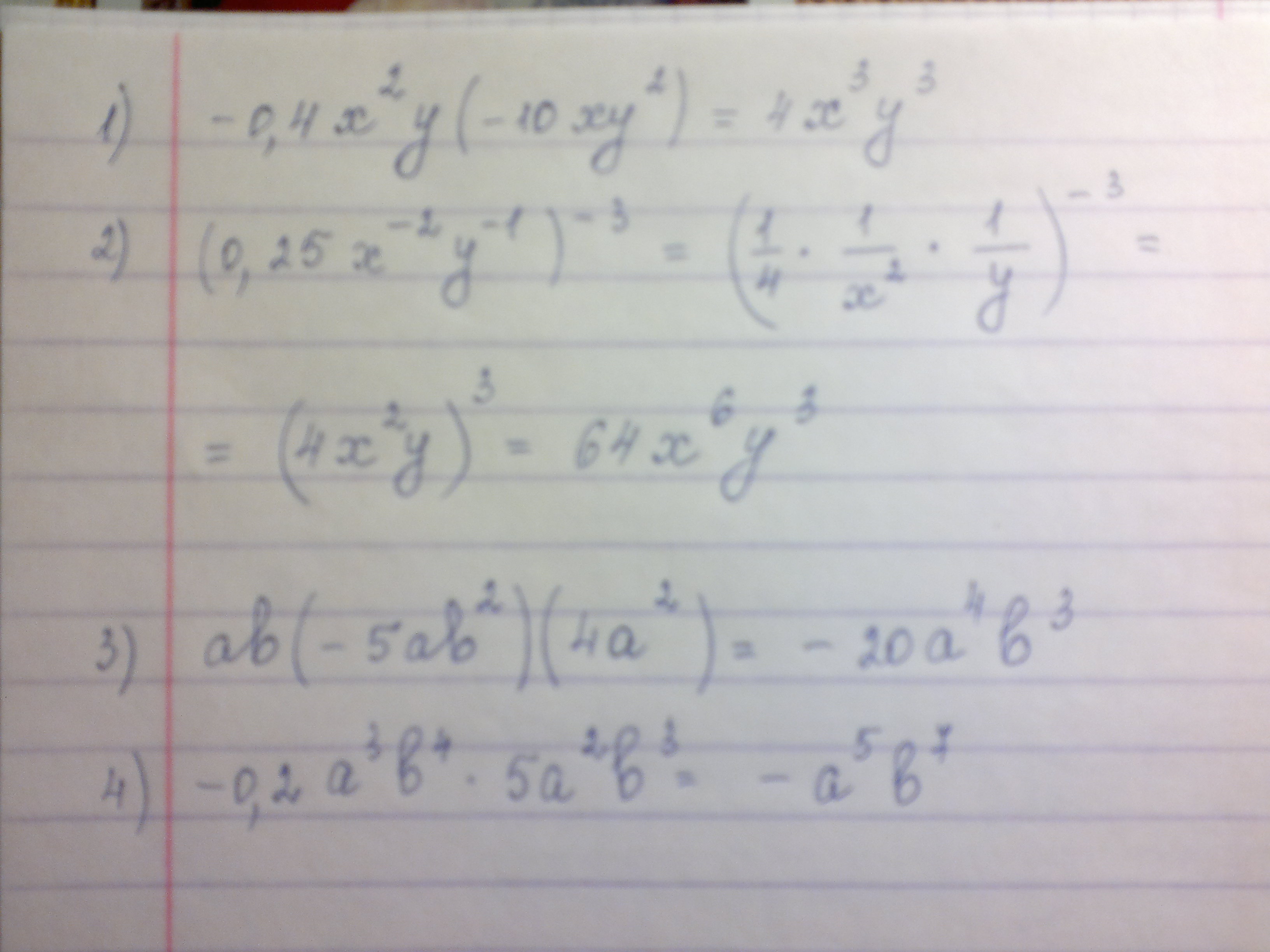
1)-0,4х^2у*(-10ху^2)
2)(0,25х^-2у^-1)^-3
3)аб(-5аб^2)*(4а^2,)
4)-0,2а^3б^4*5а^2b^3

Ответы

Ответ дал: ytekjdbvsq
0
Пишите, если что не так.
Приложения:
Вас заинтересует