Ответы
Ответ дал:
0
Вот пожалуйста, решение и объяснение
Приложения:

Ответ дал:
0
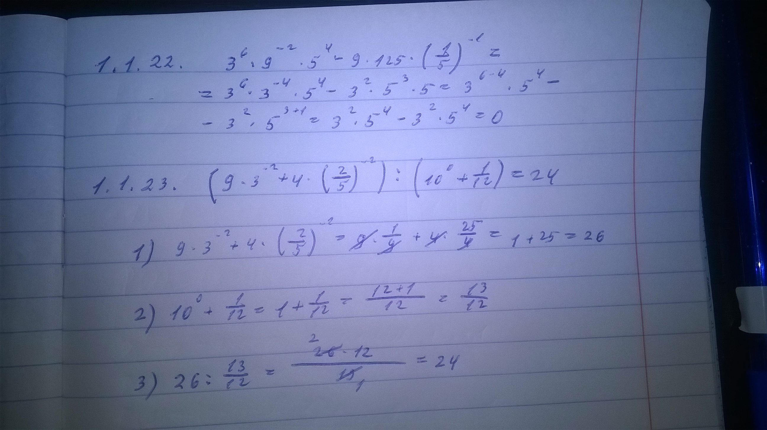
1.1.22
3⁶ *9⁻² *5⁴ -9*125*(1/5)⁻¹ =
= 3⁶ * (3²)⁻² * 5⁴ - 3² *5³ * 5¹=
= 3⁶* 3²*⁽⁻²⁾ * 5⁴ - 3² *5³⁺¹=
= 3⁽⁶⁺⁽⁻⁴⁾⁾ *5⁴ - 3² * 5⁴=
=3² * 5⁴ - 3² *5⁴ = 0
1.1.23
(9*3⁻² +4*(2/5)⁻²) : (10⁰ + 1/12) =
= (3² *3⁻² + 4 * (5/2)² ) : (1 + 1/12 ) =
= (3²⁺⁽⁻²⁾ + 4 * 25/4 ) : ( 13/12) =
= (3° + 25 ) * (12/13)=
= (1 +25 ) * (12/13)=
= 26/1 * 12/13 = 2*12= 24
по действиям:
1) 9 * 3⁻² = 9 * 1/9 = 1
2) 4 * (2/5 )⁻² = 4 * (5/2)² = 4/1 *25/4 = 25
3)10° + 1/12 = 1+ 1/12 = 1 1/12
4)1+25=26
5)26 : 1 1/12 = 26/1 * 12/13 = (26*12)/(1*13) = (2*12)/(1*1) = 24
3⁶ *9⁻² *5⁴ -9*125*(1/5)⁻¹ =
= 3⁶ * (3²)⁻² * 5⁴ - 3² *5³ * 5¹=
= 3⁶* 3²*⁽⁻²⁾ * 5⁴ - 3² *5³⁺¹=
= 3⁽⁶⁺⁽⁻⁴⁾⁾ *5⁴ - 3² * 5⁴=
=3² * 5⁴ - 3² *5⁴ = 0
1.1.23
(9*3⁻² +4*(2/5)⁻²) : (10⁰ + 1/12) =
= (3² *3⁻² + 4 * (5/2)² ) : (1 + 1/12 ) =
= (3²⁺⁽⁻²⁾ + 4 * 25/4 ) : ( 13/12) =
= (3° + 25 ) * (12/13)=
= (1 +25 ) * (12/13)=
= 26/1 * 12/13 = 2*12= 24
по действиям:
1) 9 * 3⁻² = 9 * 1/9 = 1
2) 4 * (2/5 )⁻² = 4 * (5/2)² = 4/1 *25/4 = 25
3)10° + 1/12 = 1+ 1/12 = 1 1/12
4)1+25=26
5)26 : 1 1/12 = 26/1 * 12/13 = (26*12)/(1*13) = (2*12)/(1*1) = 24
Приложения:

Вас заинтересует
2 года назад
2 года назад
7 лет назад
9 лет назад
10 лет назад