• Предмет: Математика
  • Автор: KatyaVinecova12
  • Вопрос задан 10 лет назад

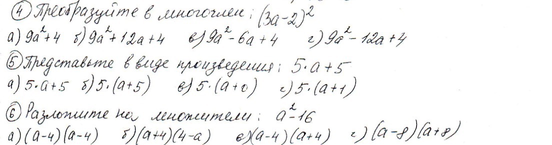
решите задания пожалуйста

Приложения:

Ответы

Ответ дал: Mael79
0
В 4ответ Г. В 5 ответ Г. В 6 ответ В. В 8 ответ В. В 9 ответ 70°. В 10 ответ Б
Вас заинтересует