Ответы
Ответ дал:
0
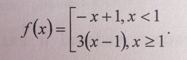
1) При x < 1 уравнение принимает вид:
х+1=-х+1
2х=0
х=0
2) При х≥1 уравнение принимает вид:
х+1=3(х-1)
х+1=3х-3
-2х=-4
х=2
О т в е т. 0+2=2
х+1=-х+1
2х=0
х=0
2) При х≥1 уравнение принимает вид:
х+1=3(х-1)
х+1=3х-3
-2х=-4
х=2
О т в е т. 0+2=2
Вас заинтересует
2 года назад
7 лет назад
7 лет назад
10 лет назад
10 лет назад
10 лет назад