• Предмет: Математика
  • Автор: tolmachievaanyta
  • Вопрос задан 10 лет назад

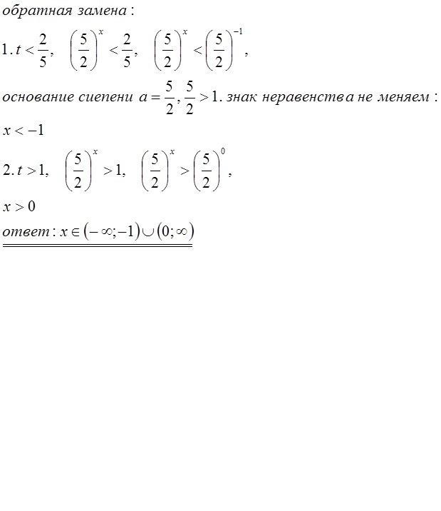
25^(x+0,5)-7*10^x+4^(x+0,5)>0 помогите

Ответы

Ответ дал: kirichekov
0
решение во вложении-----------------------
Приложения:
Вас заинтересует