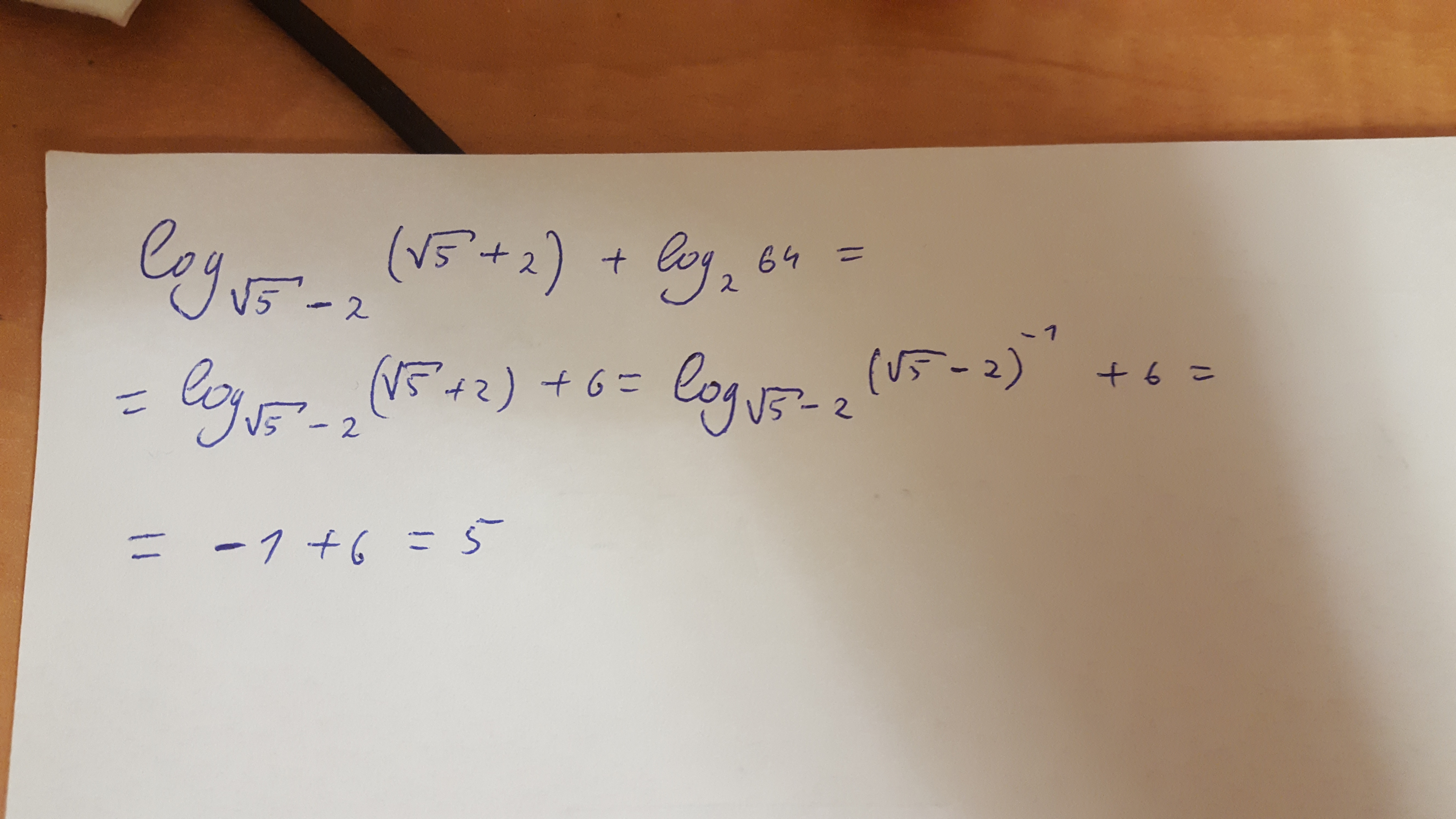
найдите значение выражения log_#5 - 2 (#5 + 2) + log_2 (64)
знак # - знак корня, под корнем находится только число "5"
Ответы
Ответ дал:
0
Просто заметим, что √5 + 2 в -1 степени это √5 - 2. Дальше всё просто.
Приложения:
Вас заинтересует
2 года назад
2 года назад
7 лет назад
7 лет назад
10 лет назад
10 лет назад
10 лет назад