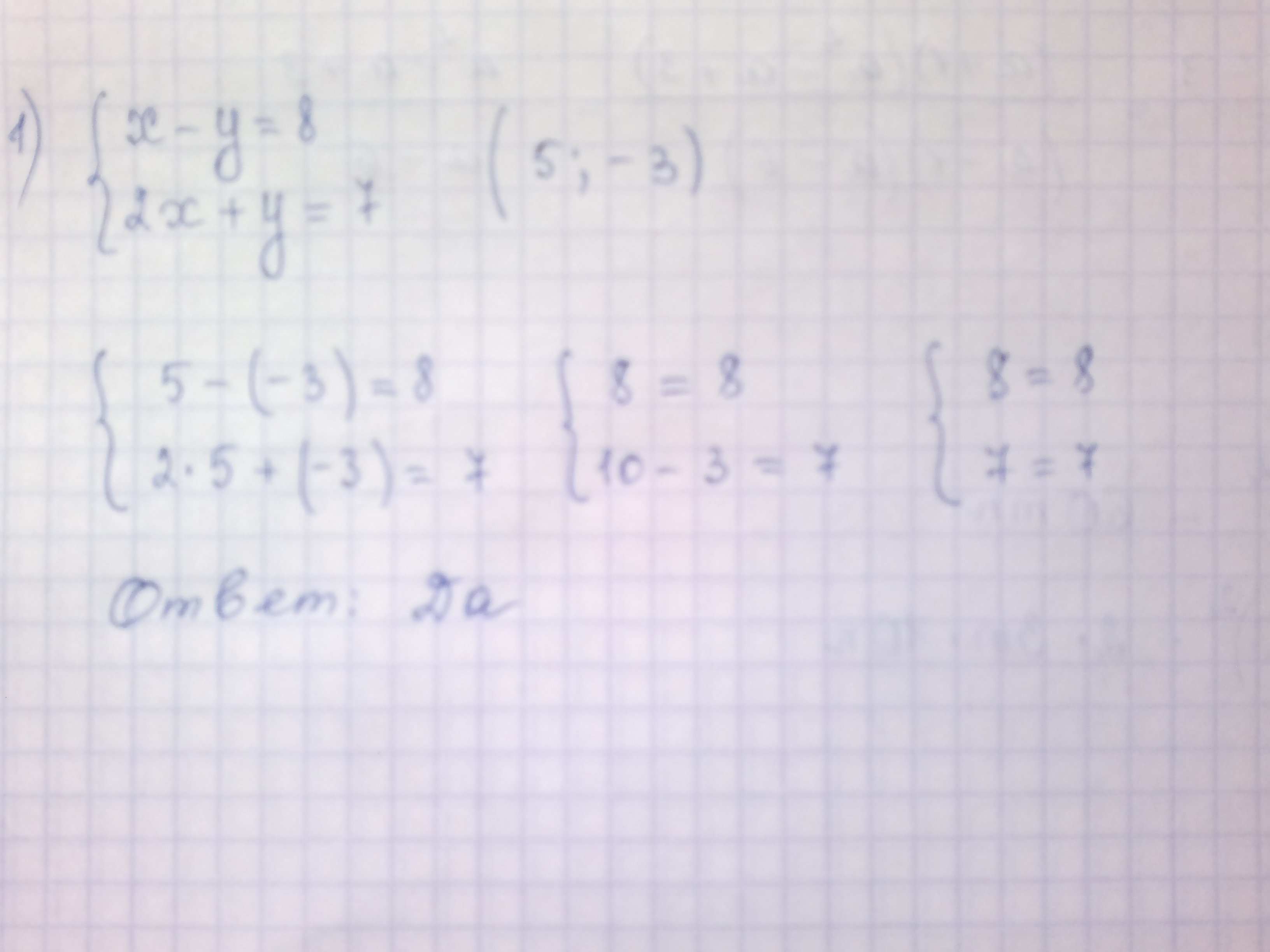
1)будет ли пара чисел (5.,-3) решением системы уравнений
2)решите систему уравнений графически
3)найдите решение системы уравнений способом подстановки
4)решите систему уравнений способом сложения найдите значение выражения 3*(х+у)+2х*у где (х.,у) решение данной системы уравнений
Приложения:




Ответы
Ответ дал:
0
Пишите, если что не так.
Приложения:

Вас заинтересует
2 года назад
2 года назад
7 лет назад
7 лет назад
9 лет назад
9 лет назад
10 лет назад