Ответы
Ответ дал:
0
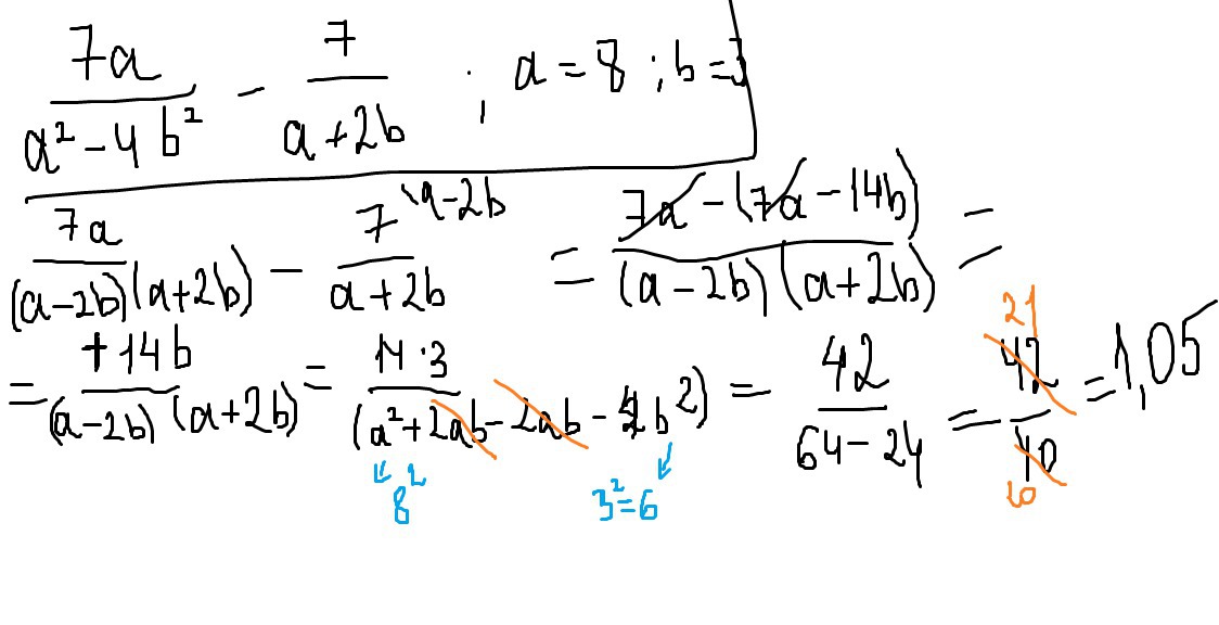
Вот решение, прикрепила
Исправила,добавила конец, спасибо, что заметили :)
Исправила,добавила конец, спасибо, что заметили :)
Приложения:
Ответ дал:
0
)))
Ответ дал:
0
3^2 = 9 ( а не 6 ) ошибка
Ответ дал:
0
точно
Ответ дал:
0
исправила 3 раз ахах)
Ответ дал:
0
Да я касанула, неправильно разность квадратов разложила, спасибо что помогли, понять свою ошибку!
Ответ дал:
0
7a / ( a^2 - 4в^2 ) - 7 / ( а + 2в ) = ( 7а - 7( а - 2в )) / ( а^2 - 4в^2 ) = ( 7а - 7а + 14в ) / ( а^2 - 4в^2 ) = 14в / ( а^2 - 4в^2 )
а = 8 , в = 3
( 14•3 ) / ( 8^2 -4•(3^2 )) = 42 / ( 64 - 36 ) = 42 / 28 = 1,5
Ответ 1,5
а = 8 , в = 3
( 14•3 ) / ( 8^2 -4•(3^2 )) = 42 / ( 64 - 36 ) = 42 / 28 = 1,5
Ответ 1,5
Приложения:
Вас заинтересует
2 года назад
2 года назад
7 лет назад
7 лет назад
10 лет назад
10 лет назад