Помогите решить!!! Основы трапеции АВСD равны 9 и 12 см, а диагональ АС делится точкой пересечения диагоналей на отрезки, разница которых составляет 1 см. Найдите диагональ АС трапеции.
Ответы
Ответ дал:
0
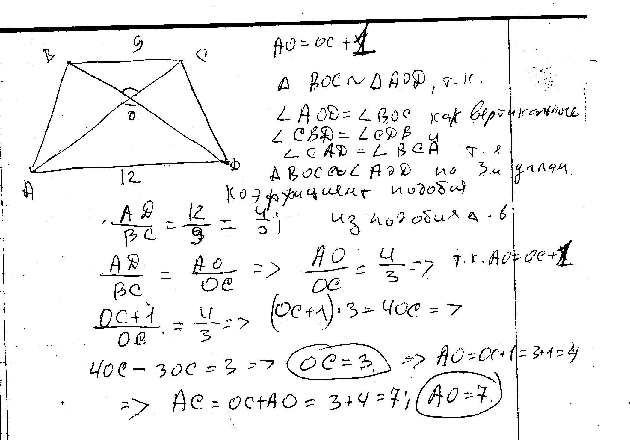
Точка пересечения диагоналей О.
ΔАОD подобный ΔСОВ по трем углам.ОС=х-1, АО=х
ВС/АD=ОС/АО,
9/12=(х-1)/х,
9х=12х-12,
3х=12,
х=4,
АО=4 см, ОС=3 см.
АС=4+3=7.
Ответ: 7 см.
ΔАОD подобный ΔСОВ по трем углам.ОС=х-1, АО=х
ВС/АD=ОС/АО,
9/12=(х-1)/х,
9х=12х-12,
3х=12,
х=4,
АО=4 см, ОС=3 см.
АС=4+3=7.
Ответ: 7 см.
Ответ дал:
0
Очень достойно!
Ответ дал:
0
решение в скане..............
Приложения:
Вас заинтересует
3 года назад
8 лет назад
8 лет назад
10 лет назад