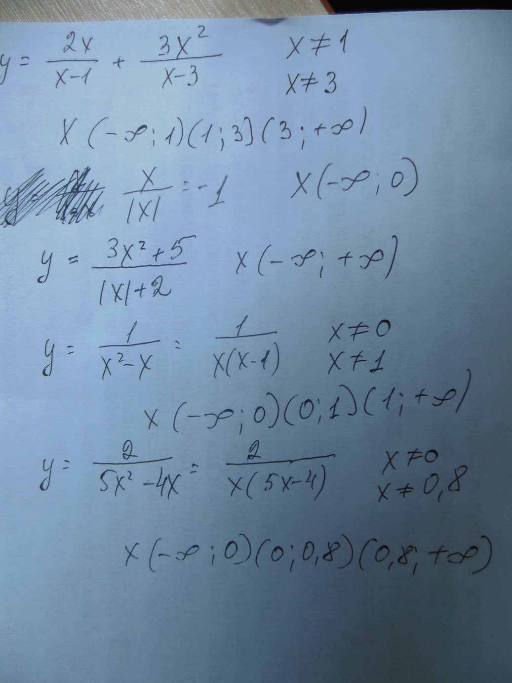
найти область определения функции заданной формулой:
1)у=2х/x-1 + 3x^/x-3;
2)x/|x|-1;
3)y=3x^+5/|x|+2;
4)y=1/x^-x;
5 ) у=2/5x^-4x
помогите с заданием,пожалуйста,срочно нужно решить))спасибо заранее)))))
Ответы
Ответ дал:
0
!!!!!!!!!!!!!!!!!!!!!!!!!!!!!!!!!!!!!!!!!!!!!!!!!!!
Приложения:

Ответ дал:
0
ты нашел значение х,а надо у...
Ответ дал:
0
область определения - это какие значения может принимать аргумент, чтобы функция была определена
Вас заинтересует
2 года назад
2 года назад
7 лет назад
7 лет назад
9 лет назад
9 лет назад
10 лет назад
10 лет назад