НОМЕР 1:
ВЫПОЛНИТЕ ДЕЙСТВИЯ:
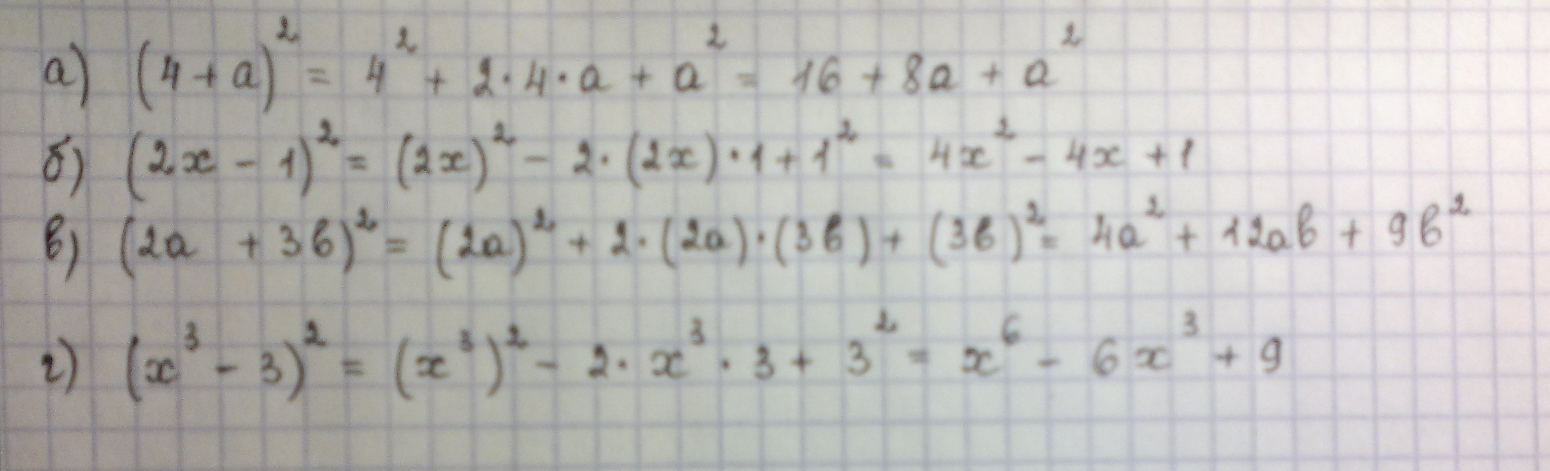
а)(4 + a)^2
б)(2x - 1)^2
в)(2а + 3b)^2
г)(x^3 - 3)^2
НОМЕР 2:
Представьте трехчлен в виде квадрата двучлена:
а)x^2 +6x = 9
B) 25x^2 - 10x + y^2²
Ответы
Ответ дал:
0
Пишите, если что не так.
Приложения:

Вас заинтересует
2 года назад
7 лет назад
7 лет назад
9 лет назад
9 лет назад
10 лет назад
10 лет назад