Помогите пожалуйста с геометрией!
1) Основанием пирамиды является ромб с диагоналями 6 и 8. Высота пирамиды равна 1. Определить полную поверхность пирамиды, если все ее двугранные углы при основании равны.
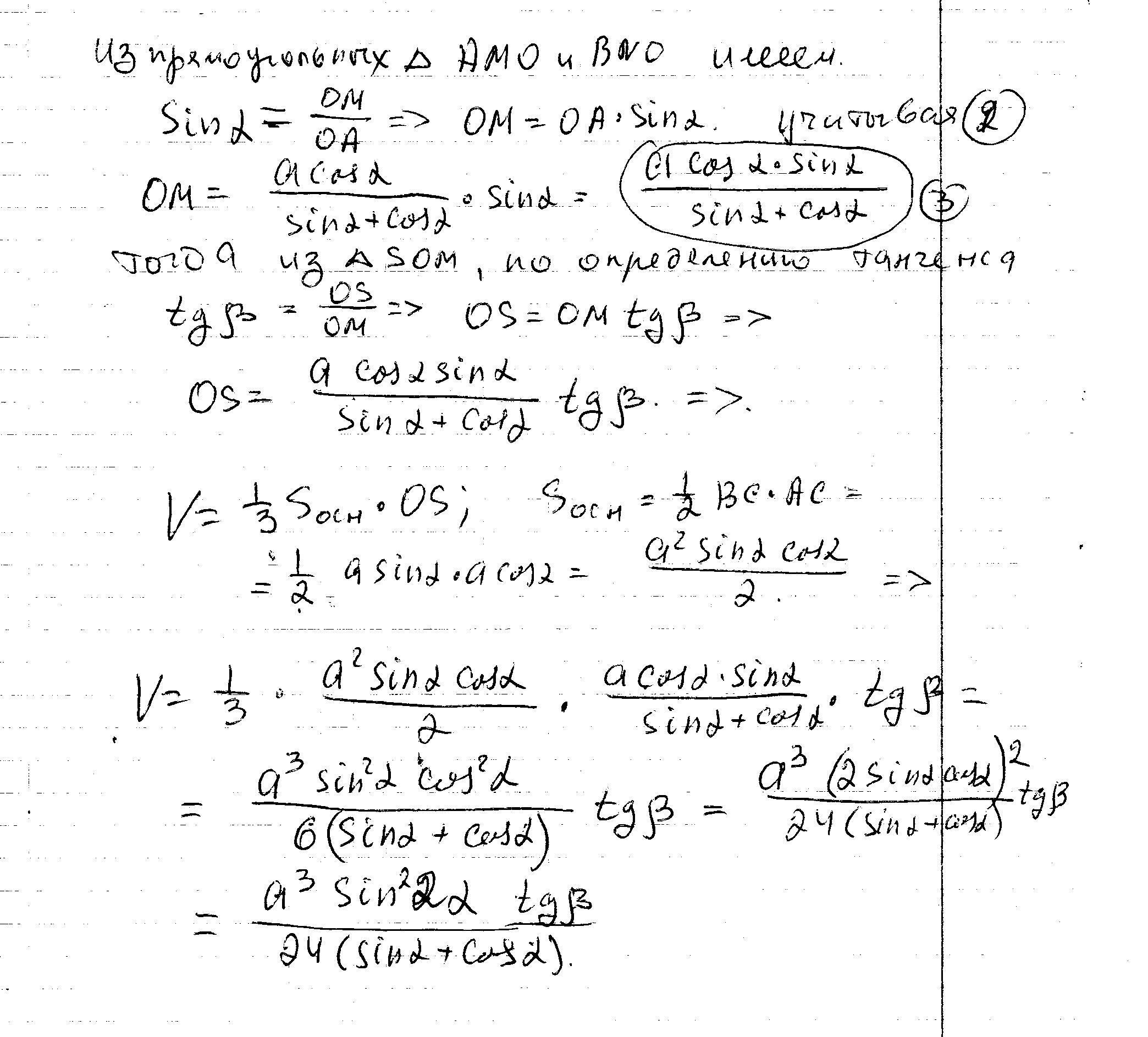
2) Основанием пирамиды является прямоугольный треугольник, гипотенуза которого равна "а", а острый угол
, боковая грань, проходящая через гипотенузу перпендикулярна к основанию, а две другие боковые грани наклонены к нему под углом
. Найти объем пирамиды.
Желательно, если будет прикреплен чертеж. Заранее спасибо!
Ответы
Ответ дал:
0
Задачки хороши, а вторая просто великолепна.Спасибо. Надеюсь не испортил их ошибкой в вычислениях
Приложения:



Ответ дал:
0
Почерк?
Ответ дал:
0
И почерк и буквы плохо прописаны
Ответ дал:
0
Спасибо Светлана. Учту. Хотя с почерком бороться сложно уже.
Ответ дал:
0
Во второй уже другая ручка.
Ответ дал:
0
Исправил
Вас заинтересует
2 года назад
7 лет назад
9 лет назад
9 лет назад
10 лет назад