ПОМОГИТЕ ПОЖАЛУЙСТА БУКВУ "А" СДЕЛАТЬ!!! НЕ ПОЛУЧАЕТСЯ! ответ есть, нужно решение...
Приложения:


Ответы
Ответ дал:
0
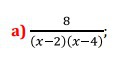
8 розкладем как 2*4 , 2*4
______________ = 2x ( 2и 4 сократились)
(x-2) (x-4)
______________ = 2x ( 2и 4 сократились)
(x-2) (x-4)
Ответ дал:
0
да я и учителю переслал
Ответ дал:
0
он говорит чертовня
Ответ дал:
0
эх
Ответ дал:
0
тем не менее, спасибо
Ответ дал:
0
пж
Вас заинтересует
2 года назад
2 года назад
9 лет назад
9 лет назад
10 лет назад
10 лет назад