• Предмет: Алгебра
  • Автор: Лола68906
  • Вопрос задан 10 лет назад

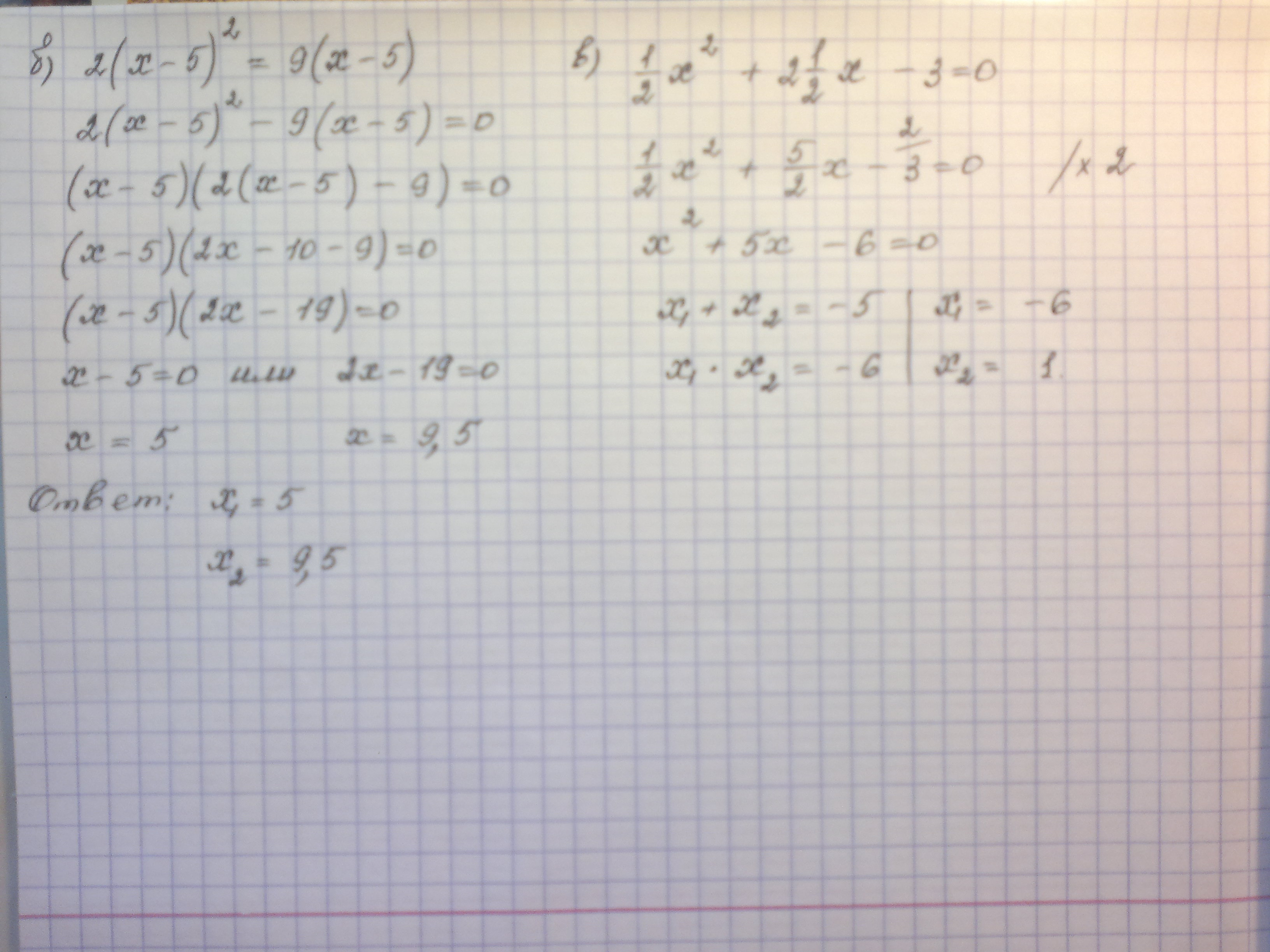
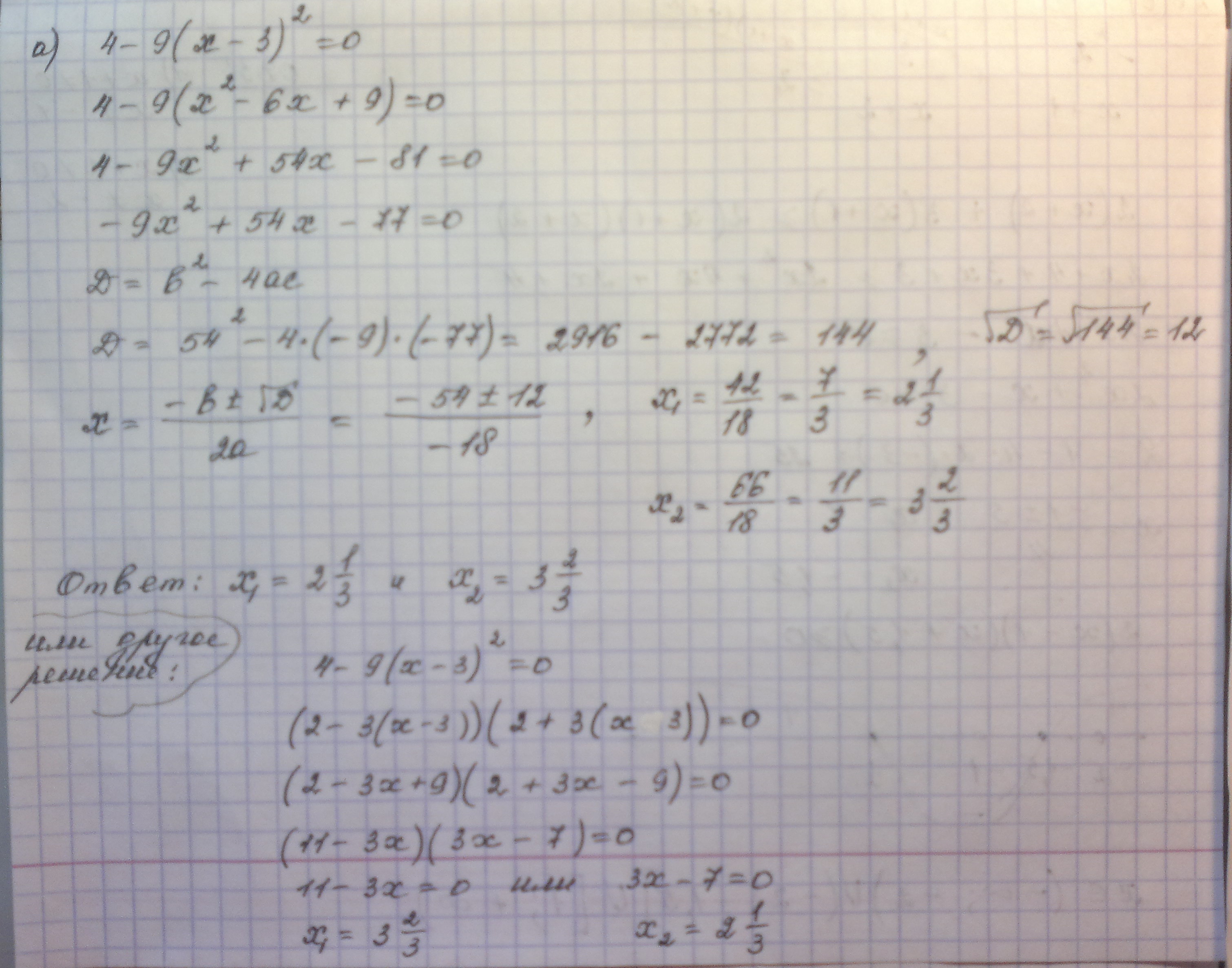
помогите решить уравнения. а) 4-9(x-3)^2=0. б)2(x-5)^2=9(x-5). в) 1/2х^2+2 1/2х-3=0. г)(x-3)^4-13(x-3)^2+36=0

Ответы

Ответ дал: ytekjdbvsq
0
Пишите, если что не так
Приложения:
Ответ дал: Лола68906
0
спасибо большое )
Ответ дал: ytekjdbvsq
0
Пожалуйста
Вас заинтересует