• Предмет: Математика
  • Автор: Аноним
  • Вопрос задан 10 лет назад

Помогите пожалуйста срочно надо с решением желательно фото заранее спасибо

Приложения:

Ответы

Ответ дал: nafanya2014
0
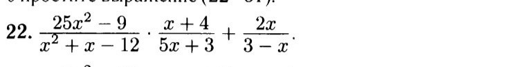
 frac{25x^2-9}{x^2+x-12} cdot  frac{x+4}{5x+3} + frac{2x}{3-x} = frac{(5x-3)(5x+3)}{(x-3)(x+4)} cdot  frac{x+4}{5x+3} - frac{2x}{x-3} = frac{5x-3}{x-3} -frac{2x}{x-3} =  \  \ =frac{5x-3-2x}{x-3} = frac{3x-3}{x-3}
Ответ дал: Аноним
0
а можешь ещё пожалуйста помочь ? буду очень благодарна
Вас заинтересует