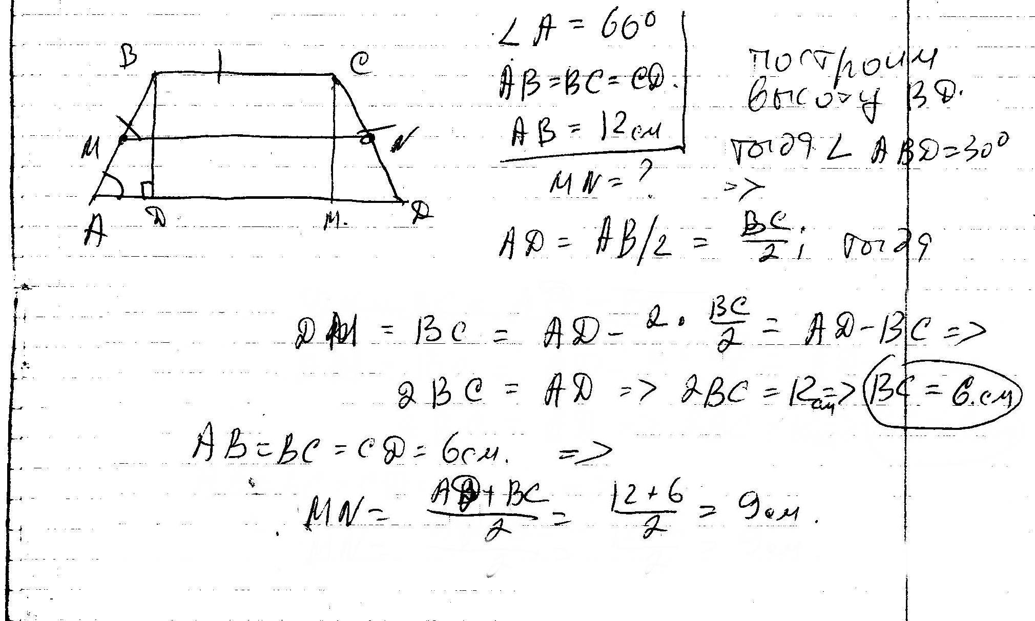
угол при основании равнобедренной трапеции равен 60 градусов боковая сторона равна меньшему основанию трапеции большее основание равно 12 см найдите длину средней линии трапеции.рис пож
Ответы
Ответ дал:
0
решение в скане..............
Приложения:

Вас заинтересует
2 года назад
7 лет назад
7 лет назад
9 лет назад
10 лет назад