• Предмет: Геометрия
  • Автор: ЕнотЕнотыч
  • Вопрос задан 10 лет назад

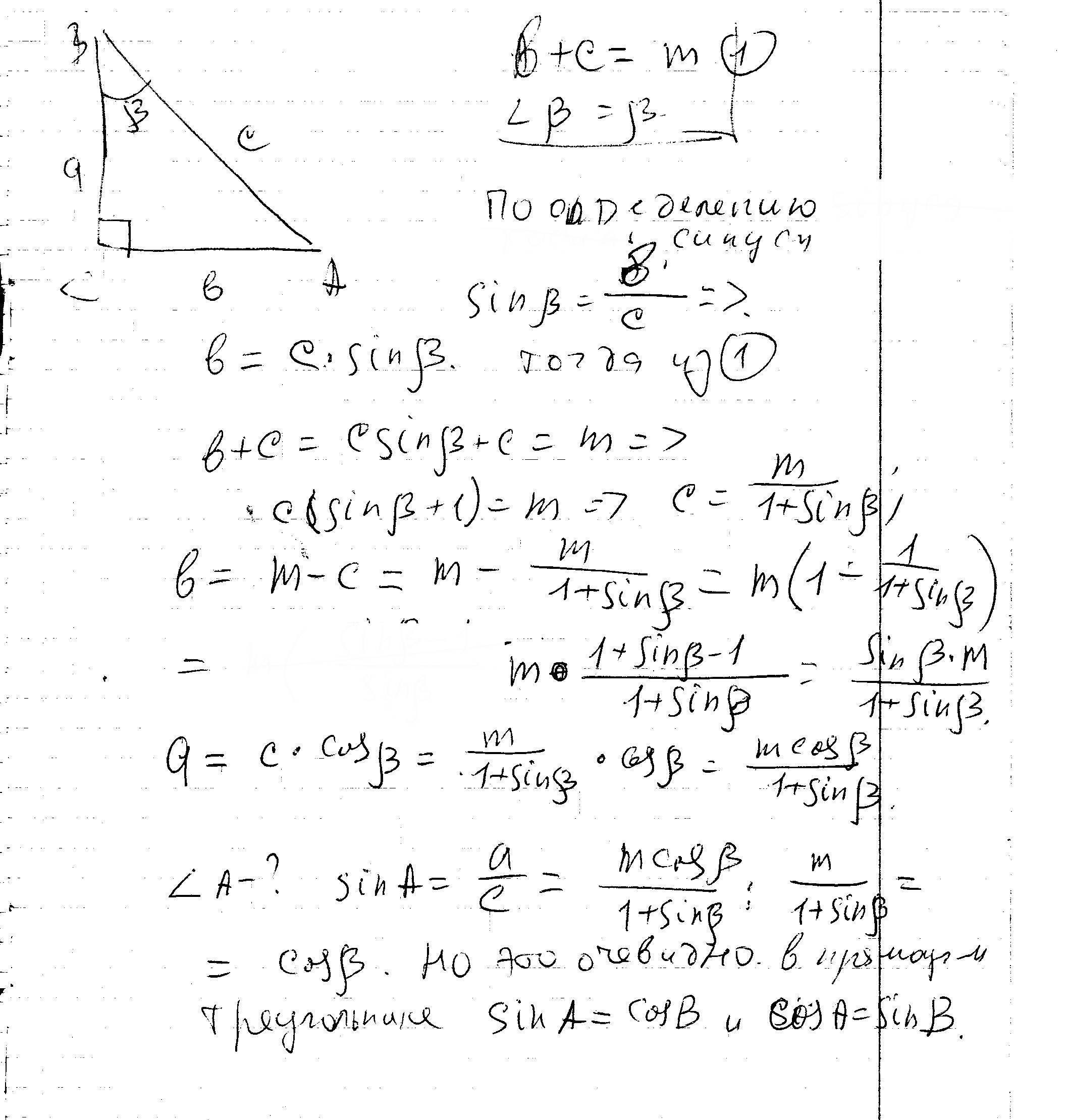
В прямоугольном треугольнике АВС угол С равен 90°, острый угол В равен β и АС+ АВ=m. Найдите стороны и угол А этого треугольника.

Ответы

Ответ дал: ужнеужели
0
надеюсь не поторопился.
Приложения:
Ответ дал: ЕнотЕнотыч
0
Да, решение и вправду оказалось довольно банальным. Было пару неудачных попыток, в рез-те которых оказалась каким-то образом в дебрях)) после них желание браться за задачу пропало
Ответ дал: ЕнотЕнотыч
0
В Вашем решении, при нахождении стороны b, вы пропустили m, похоже. Посмотрите еще раз.
Ответ дал: ужнеужели
0
ага, со мной бывает. Спасибо. Но, надеюсь это было очевидно. Сейчас исправлю.
Ответ дал: ЕнотЕнотыч
0
Я несколько дотошна :)
Ответ дал: ужнеужели
0
Это замечательно. Мне тоже не хочется плодить ошибки
Вас заинтересует