• Предмет: Математика
  • Автор: Аноним
  • Вопрос задан 10 лет назад

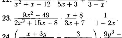
Помогите пожалуйста срочно надо с решением желательно фото заранее спасибо( номер 23)

Приложения:

Ответы

Ответ дал: nafanya2014
0
 frac{9x^2-49}{2x^2+15x-8} cdot frac{x+8}{3x+7} - frac{1}{1-2x} = frac{(3x-7)(3x+7)}{(2x-1)(x+8)} cdot frac{x+8}{3x+7} +frac{1}{2x-1} =frac{3x-7+1}{2x-1}=frac{3x-6}{2x-1}
Вас заинтересует