• Предмет: Алгебра
  • Автор: Motamkaru
  • Вопрос задан 9 лет назад

помогите пожалуйста!!! во вложении

Приложения:

Ответы

Ответ дал: kirichekov
0
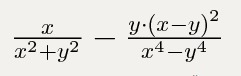
 frac{1}{ x^{2} + y^{2} } - frac{y*(x-y) ^{2} }{ x^{4} - y^{4} } = frac{ x^{2} - y^{2}-y*(x-y) ^{2}  }{( x^{2} + y^{2} )*( x^{2} - y^{2} )} = frac{(x+y)*(x-y)-y*(x-y) ^{2} }{( x^{2} + y^{2} )*( x^{2} - y^{2} )} =
= frac{(x-y)*(x+y-y*(x-y))}{( x^{2} + y^{2} )*(x-y)*(x+y)} = frac{x+y-xy+ y^{2} }{( x^{2} + y^{2} )*(x+y)}
Вас заинтересует