• Предмет: Алгебра
  • Автор: talsalta197gmaicom
  • Вопрос задан 10 лет назад

Очень нужно)))))))))))))))

Приложения:

Ответы

Ответ дал: Asila98
0
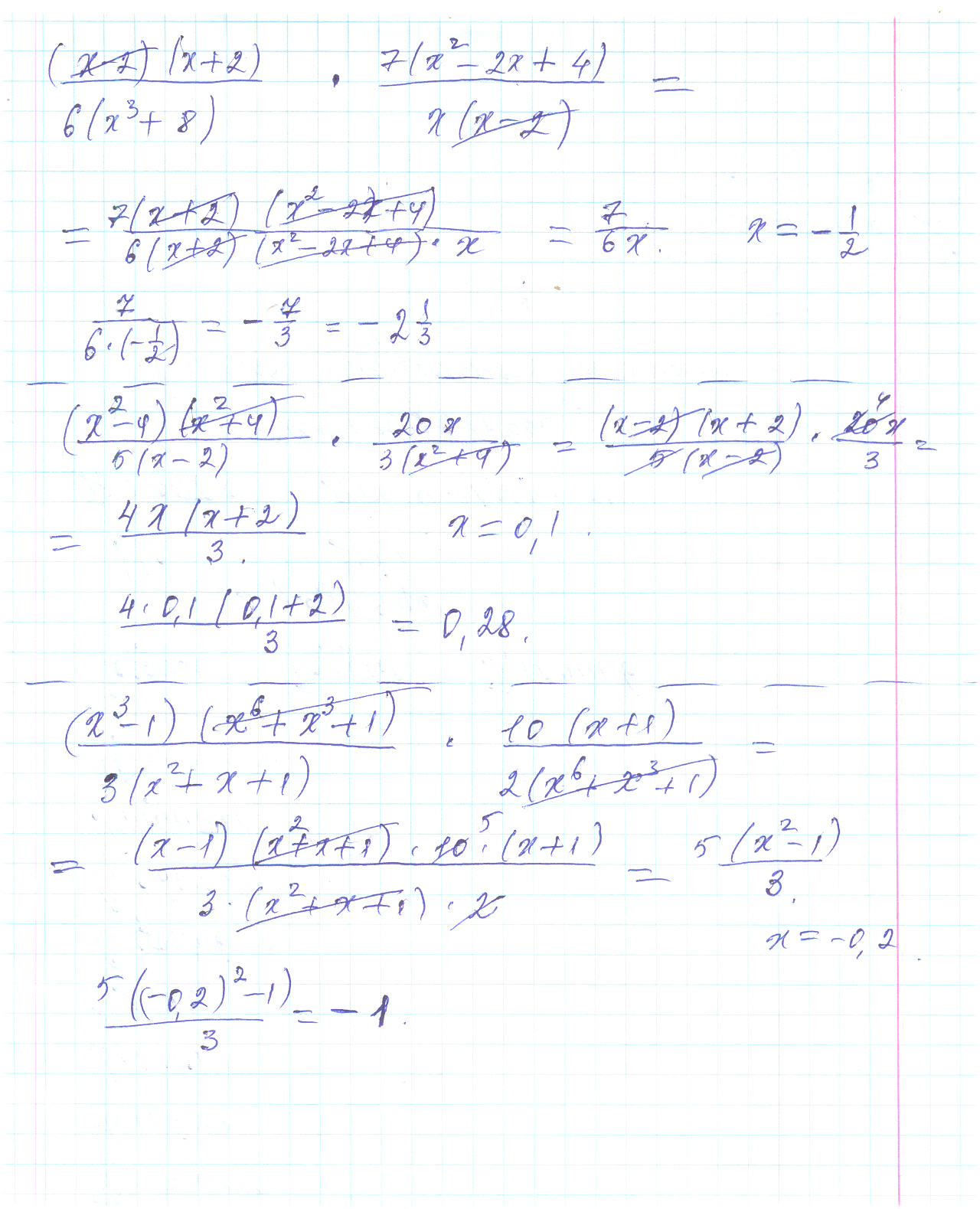
1) x = -7/3
2) x = 0.28
3) x=  - 1
Приложения:
Ответ дал: talsalta197gmaicom
0
Спасибо большое))))
Ответ дал: Asila98
0
Обращайтесь))
Вас заинтересует