Ответы
Ответ дал:
0
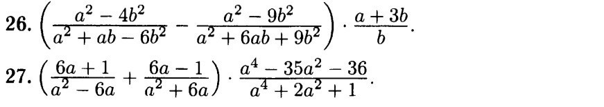
пока 26,сейчас еще 27 попробую
Приложения:


Вас заинтересует
2 года назад
7 лет назад
10 лет назад