Ответы
Ответ дал:
0
Решение на фото.............
Приложения:


Ответ дал:
0
1
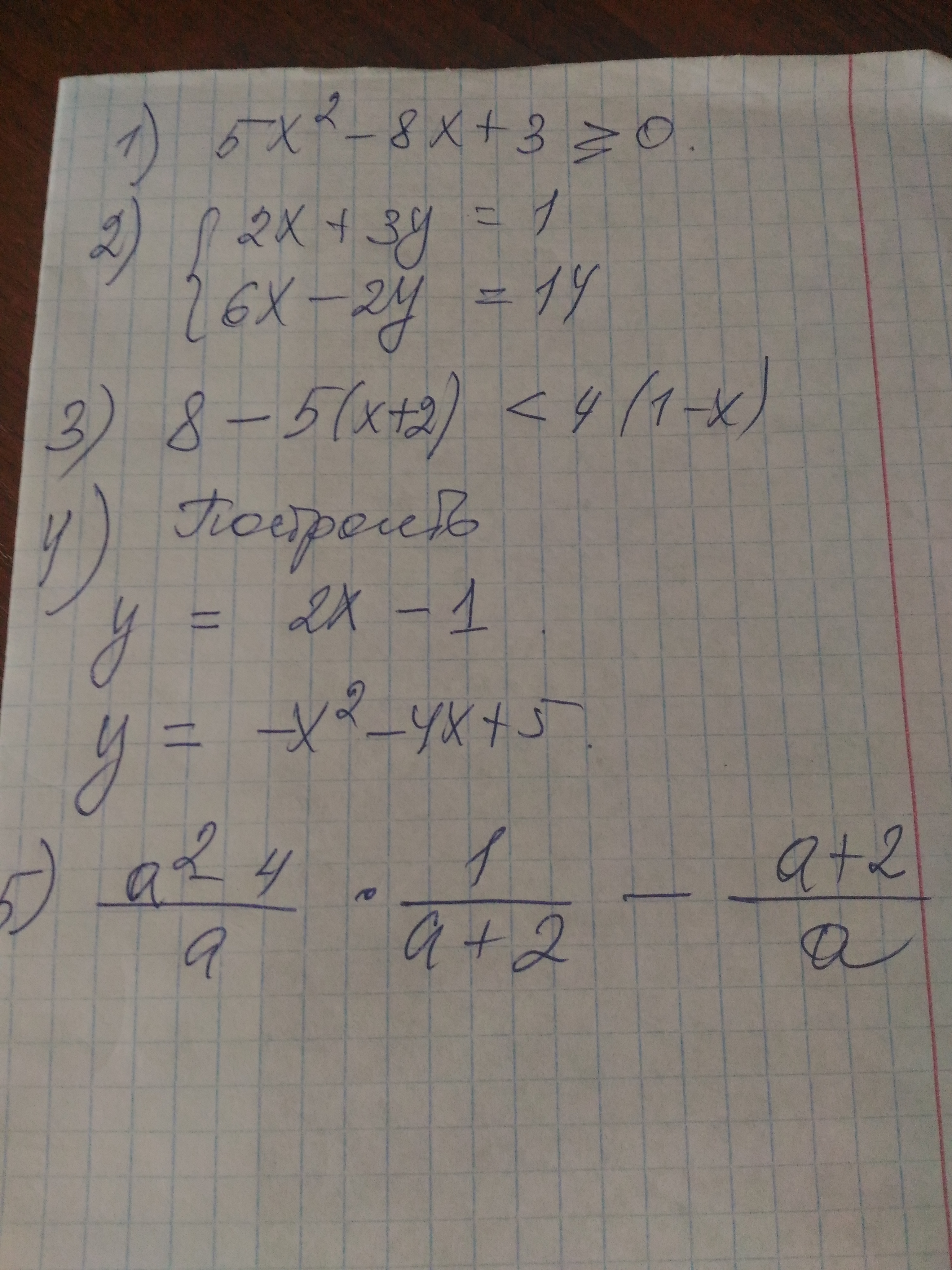
5x²-8x+3≥0
D=64-60=4
x1=(8-2)/10=0,6
x2=(8+2)/10=1
x∈(-∞;0,6] U [1;∞)
2
{2x+3y=1/*(-3)⇒-6x-9y=-3
{6x-2y=14
прибавим
-11y=11
y=-1
2x-3=1
2x=4
x=2
(2;-1)
3
8-5x-10-4+4x<0
x>-6
x∈(-6;∞)
4
y=2x-1 прямая в 1 и 3 ч
Строим точки (0;-1) и (1;1),через них проводим прямую
у=-х²-4х+5=-(х+2)²+9
Строим параболу у=-х²
х -3 -2 -1 0 1 2 3
у -9 -4 -1 0 -1 -4 -9
Сдвигаем ось ох на 9 единиц вниз и ось оу на 2 единицы вправо,получим парпболу с вершиной в точке (-2;9),точки пересечения с осями (-5;0);(1;0);(0;5)
5
1)(a-2)(a+2)/a*1/(a+2)=(a-2)/a
2)(a-2)/a-(a+2)/a=(a-2-a-2)/a=-4/a
5x²-8x+3≥0
D=64-60=4
x1=(8-2)/10=0,6
x2=(8+2)/10=1
x∈(-∞;0,6] U [1;∞)
2
{2x+3y=1/*(-3)⇒-6x-9y=-3
{6x-2y=14
прибавим
-11y=11
y=-1
2x-3=1
2x=4
x=2
(2;-1)
3
8-5x-10-4+4x<0
x>-6
x∈(-6;∞)
4
y=2x-1 прямая в 1 и 3 ч
Строим точки (0;-1) и (1;1),через них проводим прямую
у=-х²-4х+5=-(х+2)²+9
Строим параболу у=-х²
х -3 -2 -1 0 1 2 3
у -9 -4 -1 0 -1 -4 -9
Сдвигаем ось ох на 9 единиц вниз и ось оу на 2 единицы вправо,получим парпболу с вершиной в точке (-2;9),точки пересечения с осями (-5;0);(1;0);(0;5)
5
1)(a-2)(a+2)/a*1/(a+2)=(a-2)/a
2)(a-2)/a-(a+2)/a=(a-2-a-2)/a=-4/a
Приложения:


Вас заинтересует
2 года назад
2 года назад
7 лет назад
9 лет назад
9 лет назад