Ответы
Ответ дал:
0
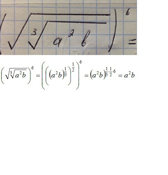
1) (3) V ( a^2b ) = ( a^2b )^1/3 = a^2/3b^1/3
2) V ( a^2/3b^1/3 ) = ( a^2/3b^1/3 )^1/2 = a^1/3b^1/6
3) ( a^1/3b^1/6 )^6 = a^2b
Ответ а^2b
2) V ( a^2/3b^1/3 ) = ( a^2/3b^1/3 )^1/2 = a^1/3b^1/6
3) ( a^1/3b^1/6 )^6 = a^2b
Ответ а^2b
Ответ дал:
0
решение во вложении----------------------
Приложения:

Вас заинтересует
2 года назад
7 лет назад
7 лет назад
9 лет назад
9 лет назад
10 лет назад