Ответы
Ответ дал:
0
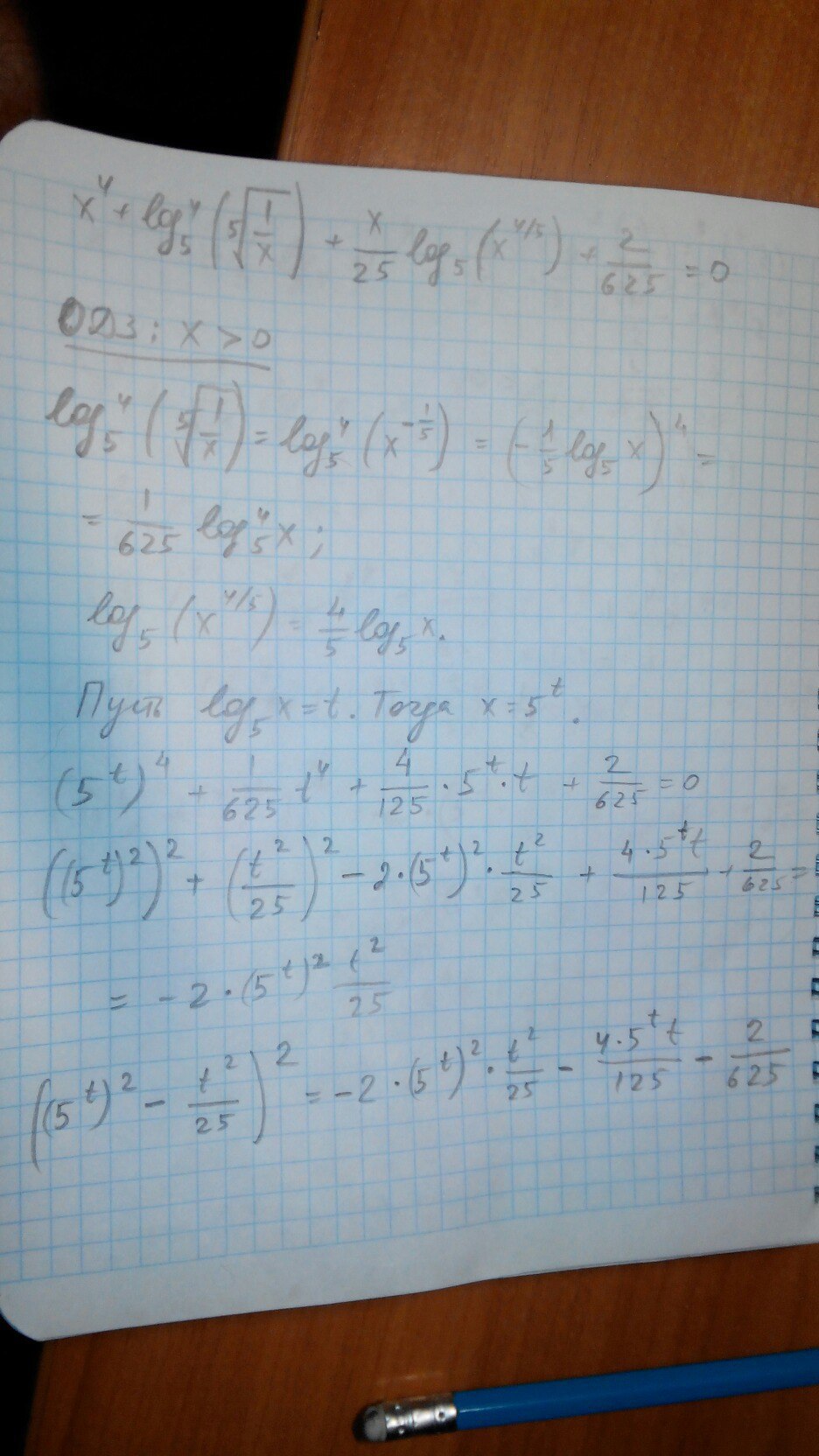
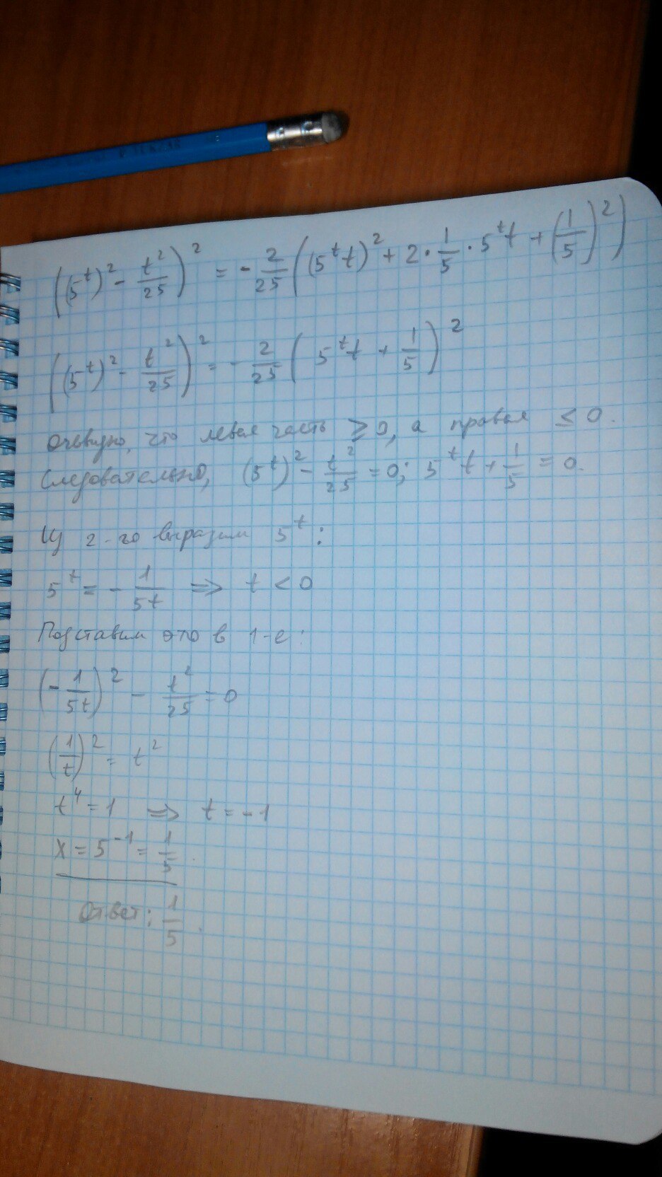
Решение первого уравнения.
Приложения:


Вас заинтересует
2 года назад
7 лет назад
9 лет назад
9 лет назад
10 лет назад