Ответы
Ответ дал:
0
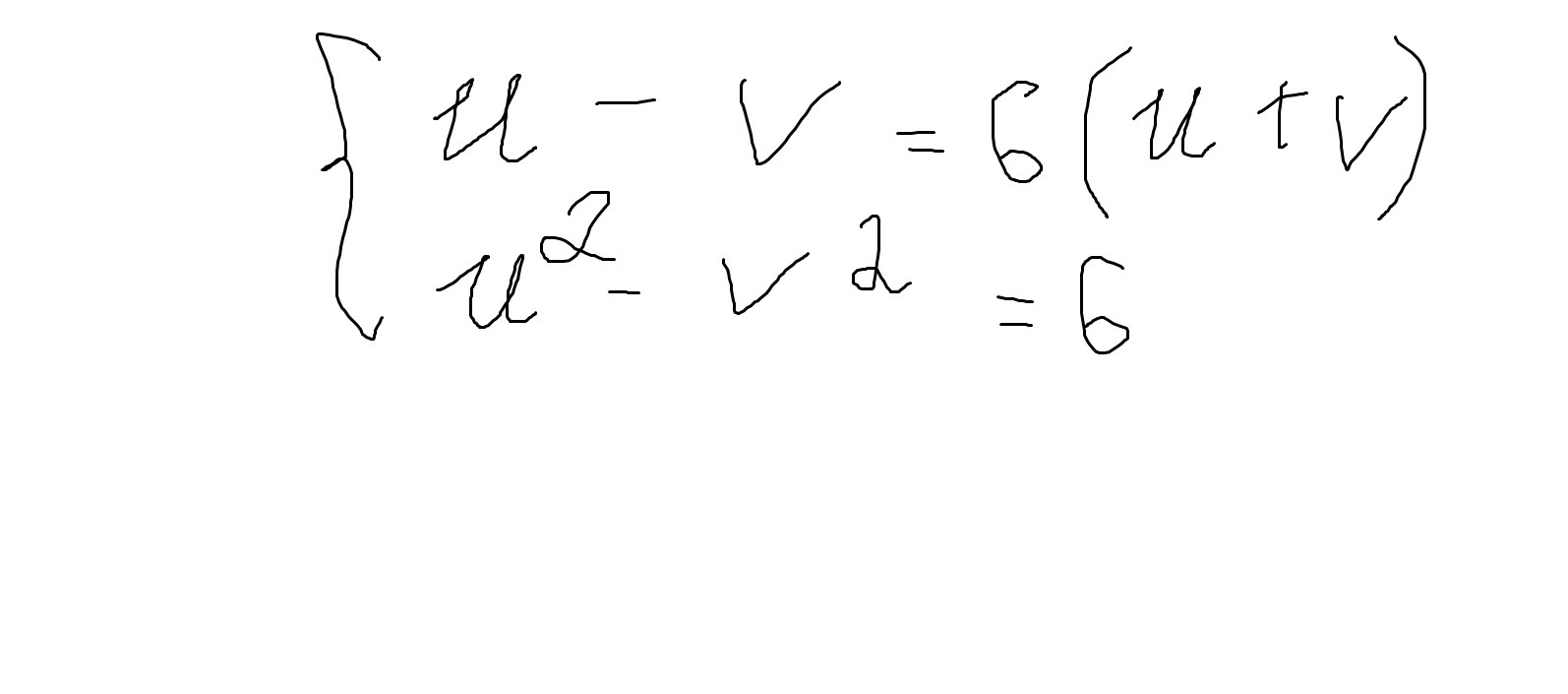
u - v = 6( u + v )
u - v = 6u + 6v
6u - u = - v - 6v
5u = - 7v
u = - 1,4v
u^2 - v^2 = 6
1,96v^2 - v^2 = 6
0,96v^2 = 6
v^2 = 6,25 = 25/4
v1 = 5/2 = 2,5
v2 = - 2,5
u = - 1,4v
u1 = - 3,5
u2 = 3,5
Ответ ( - 3,5 ; 2,5 ) ; ( 3,5 ; - 2,5 )
u - v = 6u + 6v
6u - u = - v - 6v
5u = - 7v
u = - 1,4v
u^2 - v^2 = 6
1,96v^2 - v^2 = 6
0,96v^2 = 6
v^2 = 6,25 = 25/4
v1 = 5/2 = 2,5
v2 = - 2,5
u = - 1,4v
u1 = - 3,5
u2 = 3,5
Ответ ( - 3,5 ; 2,5 ) ; ( 3,5 ; - 2,5 )
Вас заинтересует
3 года назад
8 лет назад
8 лет назад
10 лет назад
10 лет назад