Ответы
Ответ дал:
0
{5x²+2y=-3
{x-y=5⇒y=x-5
5x²+2x-10+3=0
5x²+2x-7=0
D=4+140=144
x1=(-2-12)/10=-1,4⇒x1=-1,4-5=-6,4
x2=(-2+12)/10=1⇒y2=1-5=-4
Ответ (-6,4;-1,4);(-4;1)
{5m+2n=1/(-3)⇒-15m-6n=-3
{15m+3n=3
прибавим
-3n=0
n=0
5m=1
m=0,2
Ответ (0,2;0)
2/(x+3)-3/(x+2)>0
(2x+4-3x-9)/[(x+3)(x+2)]>0
(x+5)/[(x+3)(x+2)]<0
x=-5 x=-3 x=-2
_ + _ +
------------(-5)-----------(-3)------------(-2)----------------
x∈(-∞;-5) U (-3;-2)
{(2x+1)/(x-2)>1 (1)
{(3x+2)/(2x-3)>2 (2)
1)(2x+1)/(x-2)-1>0
(2x+1-x+2)/(x-2)>0
(x+3)/(x-2)>0
x=-3 x=2
x<-3 U x>2
2)(3x+2)/(2x-3)-2>0
(3x+2-4x+6)/(2x-3)>0
(x-8)/(2x-3)<0
x=8 x=1,5
1,5<x<8
Общее x∈(2;8)
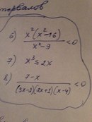
x²(x-4)(x+4)/[(x-3)(x+3)]<0
x=0 x=4 x=-4 x=3 x=-3
+ _ + + _ +
------------(-4)-----------(-3)--------(0)----------(3)-----------(4)---------------
x∈(-4;-3) U (3;4)
x²-2x≤0
x(x-2)≤0
x=0 x=2
x∈[0;2]
(x-7)/[(3x-2)(2x+1)(x-4)>0
x=7 x=2/3 x=-1/2 x=4
+ _ + _ +
-------------(-1/2)---------(2/3)----------(4)-----------[7]------------------
x∈(-∞;-1/2) U (2/3;4) U [7;∞)
{x-y=5⇒y=x-5
5x²+2x-10+3=0
5x²+2x-7=0
D=4+140=144
x1=(-2-12)/10=-1,4⇒x1=-1,4-5=-6,4
x2=(-2+12)/10=1⇒y2=1-5=-4
Ответ (-6,4;-1,4);(-4;1)
{5m+2n=1/(-3)⇒-15m-6n=-3
{15m+3n=3
прибавим
-3n=0
n=0
5m=1
m=0,2
Ответ (0,2;0)
2/(x+3)-3/(x+2)>0
(2x+4-3x-9)/[(x+3)(x+2)]>0
(x+5)/[(x+3)(x+2)]<0
x=-5 x=-3 x=-2
_ + _ +
------------(-5)-----------(-3)------------(-2)----------------
x∈(-∞;-5) U (-3;-2)
{(2x+1)/(x-2)>1 (1)
{(3x+2)/(2x-3)>2 (2)
1)(2x+1)/(x-2)-1>0
(2x+1-x+2)/(x-2)>0
(x+3)/(x-2)>0
x=-3 x=2
x<-3 U x>2
2)(3x+2)/(2x-3)-2>0
(3x+2-4x+6)/(2x-3)>0
(x-8)/(2x-3)<0
x=8 x=1,5
1,5<x<8
Общее x∈(2;8)
x²(x-4)(x+4)/[(x-3)(x+3)]<0
x=0 x=4 x=-4 x=3 x=-3
+ _ + + _ +
------------(-4)-----------(-3)--------(0)----------(3)-----------(4)---------------
x∈(-4;-3) U (3;4)
x²-2x≤0
x(x-2)≤0
x=0 x=2
x∈[0;2]
(x-7)/[(3x-2)(2x+1)(x-4)>0
x=7 x=2/3 x=-1/2 x=4
+ _ + _ +
-------------(-1/2)---------(2/3)----------(4)-----------[7]------------------
x∈(-∞;-1/2) U (2/3;4) U [7;∞)
Вас заинтересует
2 года назад
8 лет назад
10 лет назад
10 лет назад