Ответы
Ответ дал:
0
1. Возвести обе части уравнения в квадрат
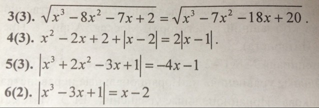
х^3-8х^2-7х+2=
х^3-7х^2-18х+20
х^3-8х^2-7х+2-
х^3+7х^2+18х-20=0
-х^2+11х-18=0
х^2-11х+18=0
х1=2 не подходит
х2=9
ответ: х=9
х^3-8х^2-7х+2=
х^3-7х^2-18х+20
х^3-8х^2-7х+2-
х^3+7х^2+18х-20=0
-х^2+11х-18=0
х^2-11х+18=0
х1=2 не подходит
х2=9
ответ: х=9
Ответ дал:
0
А разве так можно возводить в квадрат? Вроде нет
Ответ дал:
0
так не просто можно, именно так и нужно!
Ответ дал:
0
Хорошо,спасибо)
Вас заинтересует
3 года назад
3 года назад
8 лет назад
8 лет назад
10 лет назад
10 лет назад