Ответы
Ответ дал:
0
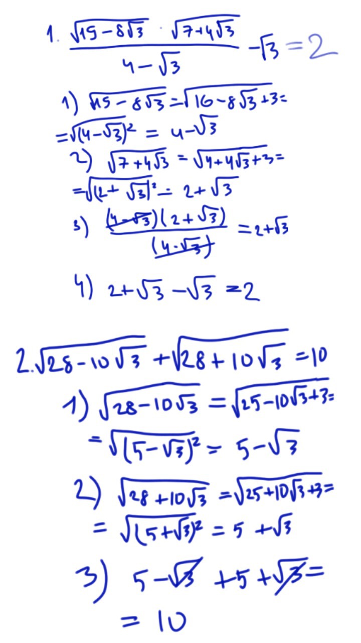
надеюсь, разберетесь, решала так, потому что на клаве нет знака корня.
Приложения:

Вас заинтересует
2 года назад
2 года назад
7 лет назад
7 лет назад
9 лет назад
9 лет назад
10 лет назад