Ответы
Ответ дал:
0
4
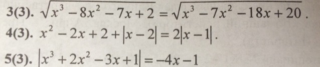
1)x<1
x²-2x+2+2-x=2-2x
x²-x+2=0
D=1-8=-7<0
нет решения
2)1≤x≤2
x²-2x+2+2-x=2x-2
x²-5x+6=0
x1+x2=5 U x1*x2=6
x1=2
x2=3 не удов усл
3)x>2
x²-2x+2+x-2=2x-2
x²-3x+2=0
x1+x2=3 U x1*x2=2
x1=1 не удов усл
x2=2 не удов усл
Ответ х=2
5
1)x³+2x²-3x+1=4x+1
x³+2x²-7x=0
x(x²+2x-7)=0
x=0 не удов усл,т.к.-4х-1<0
x²+2x-7=0
D=4+28=32
x1=(-2-4√2)/2=-1-2√2
x2=-1+2√2 не удов усл,т.к.-4х-1<0
2)x³+2x²-3x+1=-4x-1
x²+2x²+x+2=0
x²(x+2)+(x+2)=0
(x²+1)(x+2)=0
x²+1=0 нет решения,т.к. при любом х выражение больше 0
x+2=0
x=-2
ответ x=-1-2√2;x=-2
1)x<1
x²-2x+2+2-x=2-2x
x²-x+2=0
D=1-8=-7<0
нет решения
2)1≤x≤2
x²-2x+2+2-x=2x-2
x²-5x+6=0
x1+x2=5 U x1*x2=6
x1=2
x2=3 не удов усл
3)x>2
x²-2x+2+x-2=2x-2
x²-3x+2=0
x1+x2=3 U x1*x2=2
x1=1 не удов усл
x2=2 не удов усл
Ответ х=2
5
1)x³+2x²-3x+1=4x+1
x³+2x²-7x=0
x(x²+2x-7)=0
x=0 не удов усл,т.к.-4х-1<0
x²+2x-7=0
D=4+28=32
x1=(-2-4√2)/2=-1-2√2
x2=-1+2√2 не удов усл,т.к.-4х-1<0
2)x³+2x²-3x+1=-4x-1
x²+2x²+x+2=0
x²(x+2)+(x+2)=0
(x²+1)(x+2)=0
x²+1=0 нет решения,т.к. при любом х выражение больше 0
x+2=0
x=-2
ответ x=-1-2√2;x=-2
Ответ дал:
0
Ошибка: D=4+28=32!!!
Вас заинтересует
3 года назад
10 лет назад
10 лет назад
10 лет назад