• Предмет: Алгебра
  • Автор: polinaloshk2002
  • Вопрос задан 10 лет назад

помогите пожалуйста решить 3 задания

Приложения:

Ответы

Ответ дал: WoodoDoll
0
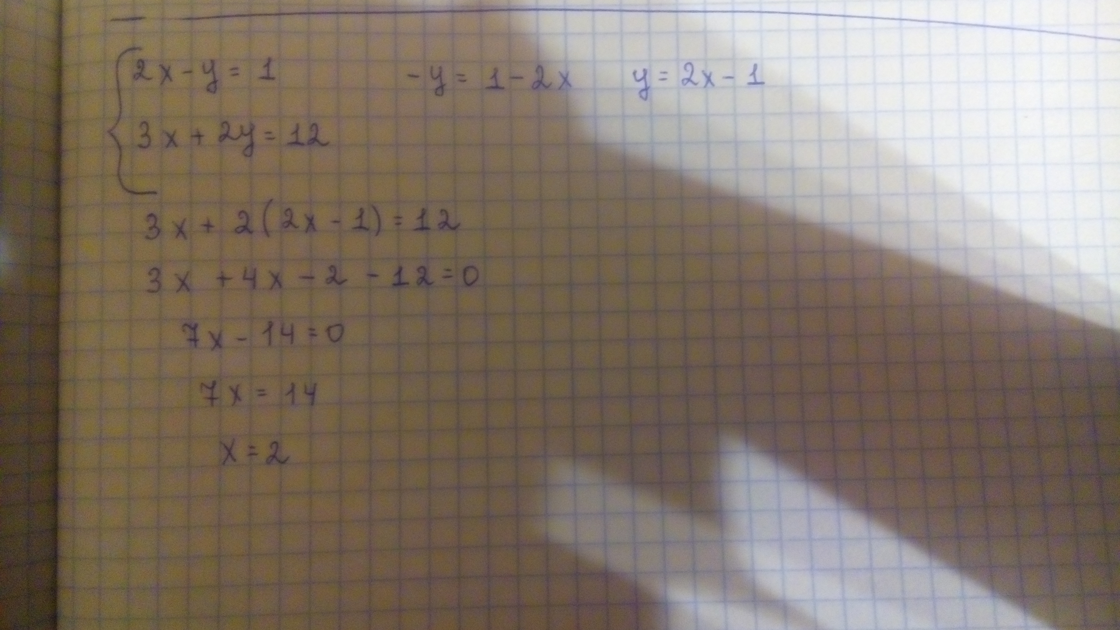
Посмотрите такой вариант решения 1 задания.
Приложения:
Ответ дал: polinaloshk2002
0
Спасибо большое :-)
Ответ дал: WoodoDoll
0
Добавила уравнение.
Ответ дал: WoodoDoll
0
Добавила систему.
Ответ дал: polinaloshk2002
0
Спасибо)
Ответ дал: WoodoDoll
0
Да не за что :)
Вас заинтересует