• Предмет: Математика
  • Автор: Lenkalol
  • Вопрос задан 10 лет назад

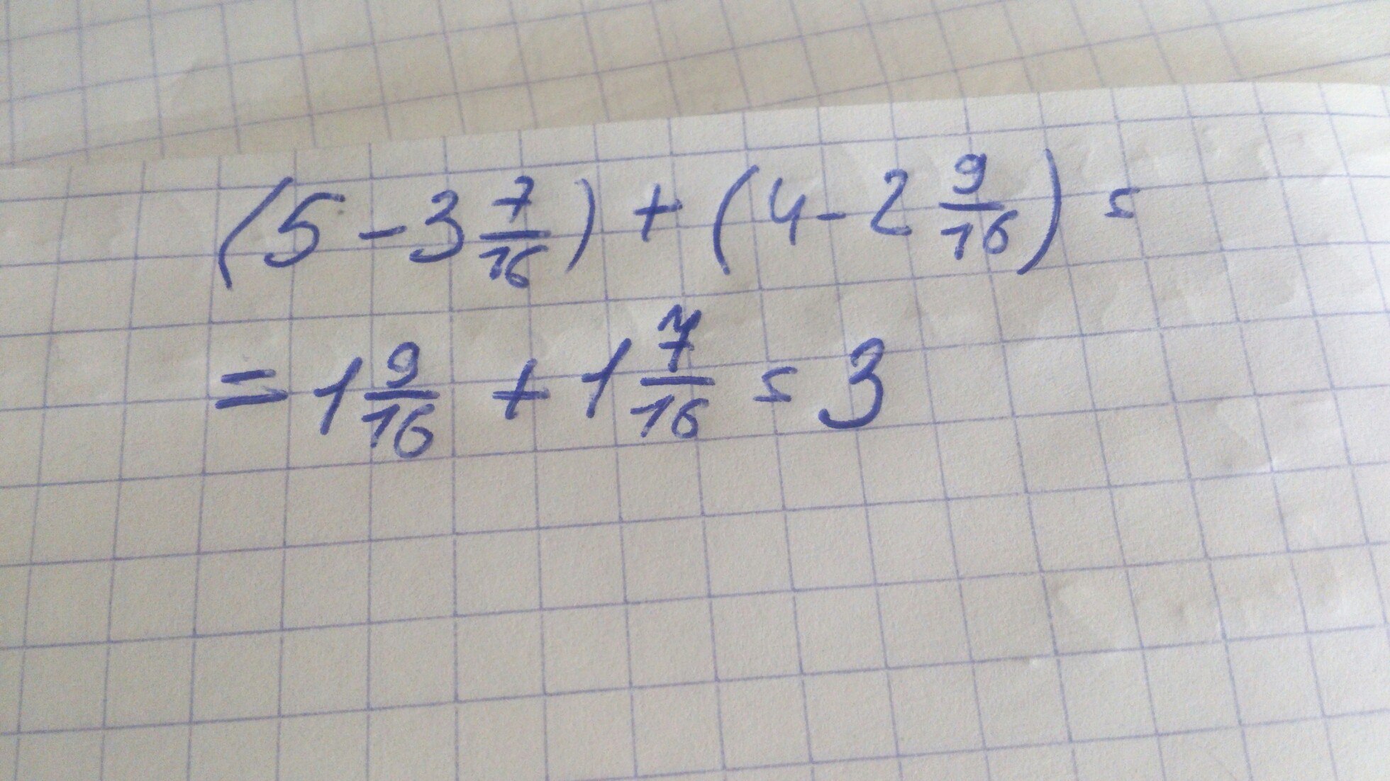
помогите с решением.вычислите: а) (5- 3 целых 7/16)+(4- 2 целых 9/16)

Ответы

Ответ дал: НУБвФИЗИКЕЕ
0
всё очень просто (просто надо подумать) :D
Приложения:
Ответ дал: Lenkalol
0
спасибо тебе большое =) математика не для меня)
Ответ дал: НУБвФИЗИКЕЕ
0
та же фигня с физикой)
Вас заинтересует