• Предмет: Алгебра
  • Автор: 01639163
  • Вопрос задан 9 лет назад

Решите пример, пожалуйста, полно!!) алгебра 7 класс, 164-166))
заранее благодарю)

Приложения:

Ответы

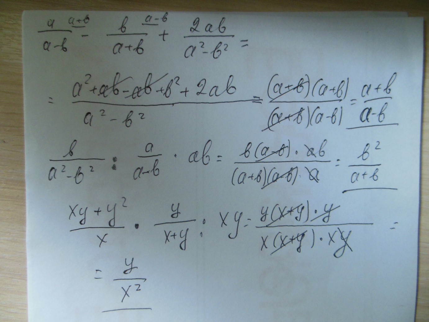
Ответ дал: miron2077
0
!!!!!!!!!!!!!!!!!!!!!
Приложения:
Ответ дал: ЗельеварСнейп
0
Только у Вас там ошибка в 165. Там а^2-ав, а не а^2-в^2.
Ответ дал: miron2077
0
добавил исправленный 165, невнимательно посмотрел
Ответ дал: ЗельеварСнейп
0
Все решение на фото, используются формулы квадрата суммы и вынесение за скобки множителя.
Приложения:
Ответ дал: miron2077
0
спасибо, добавил в ответ исправленный 165.
Вас заинтересует