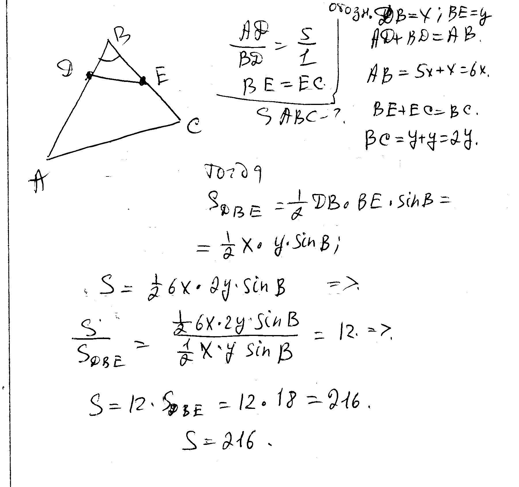
На стороне АВ треугольника АВС взята точка D таким образом, что AD : DB = 5:1. На стороне ВС взята точка Е, делящая сторону ВС пополам. Известно, что площадь треугольника DBE равна 18. Вычислите площадь треугольника АВС
Ответы
Ответ дал:
0
решение в скане..................
Приложения:

Вас заинтересует
2 года назад
7 лет назад
9 лет назад
9 лет назад