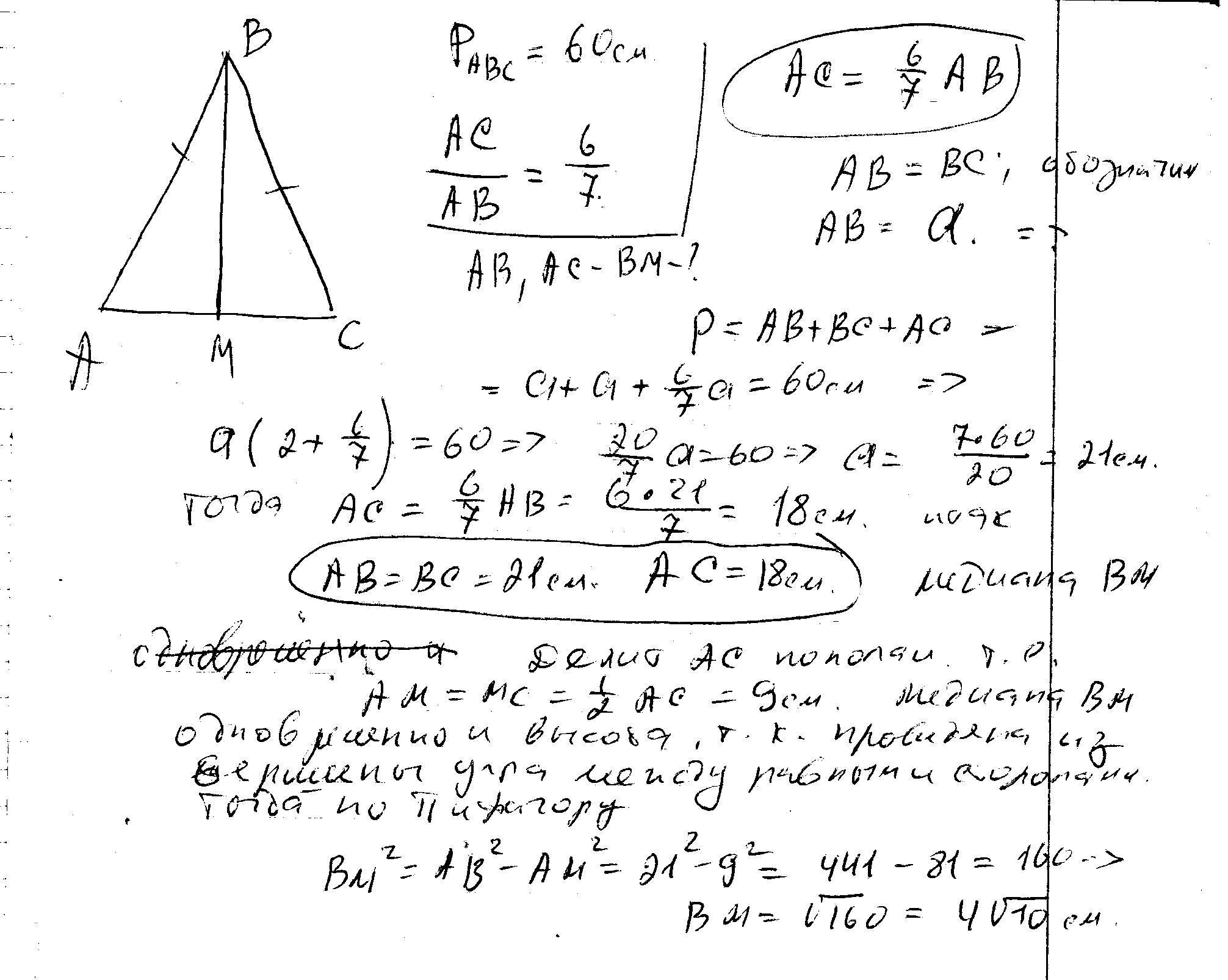
Периметр рівнобедренного трикутника дорівнюе 60 см, а його основа відноситься до бічної сторони як 6:7. Знайти сторони трикутника і медіану, проведену до основи трикутника.
Ответы
Ответ дал:
0
решение в скане...........
Приложения:

Вас заинтересует
2 года назад
7 лет назад
7 лет назад
9 лет назад
9 лет назад
10 лет назад