Ответы
Ответ дал:
0
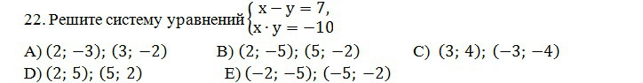
выразим из (1) х: х=7+у
подставим во (2):
у(7+у)= -10
7у+у^2= -10
y^2+7y+10=0
D=49-4*10=9
y1=(-7-3)2=-5
y2=(-7+3)2=-2
Найдем х:
х1=7-5=2
х2=7-2=5
(2;-5), (5;-2)
Ответ в
подставим во (2):
у(7+у)= -10
7у+у^2= -10
y^2+7y+10=0
D=49-4*10=9
y1=(-7-3)2=-5
y2=(-7+3)2=-2
Найдем х:
х1=7-5=2
х2=7-2=5
(2;-5), (5;-2)
Ответ в
Ответ дал:
0
В) х=y+7
y^+7y+10=0
(5,-2) (2,-5)
y^+7y+10=0
(5,-2) (2,-5)
Вас заинтересует
3 года назад
8 лет назад
8 лет назад
10 лет назад
10 лет назад
10 лет назад