Ответы
Ответ дал:
0
Вроде не накосячил нигде
Приложения:

Ответ дал:
0
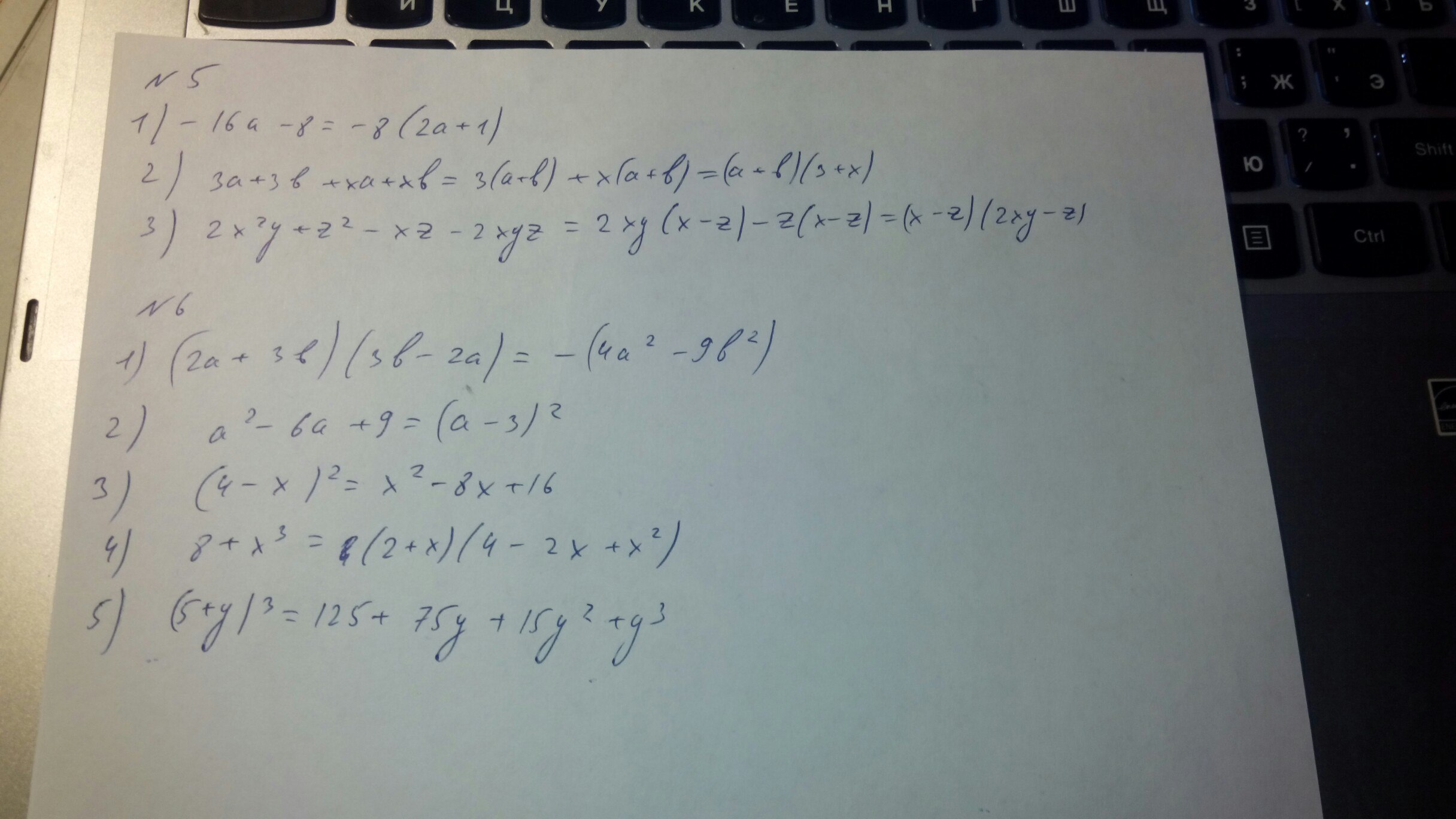
№5
1) = -8*(2а+1)
2) =3*(a+b)+x*(a+b)=(a+b)*(x+3)
3) = 2xy(x-z) - z(x-z) =(x-z)(2xy-z)
№6
1) = 9b²-4a²
2) = (a-3)²
3) = 16-8x+x²
4) = (2+x)(4-2x+x²)
5) = 125+75y+15y²+y³
1) = -8*(2а+1)
2) =3*(a+b)+x*(a+b)=(a+b)*(x+3)
3) = 2xy(x-z) - z(x-z) =(x-z)(2xy-z)
№6
1) = 9b²-4a²
2) = (a-3)²
3) = 16-8x+x²
4) = (2+x)(4-2x+x²)
5) = 125+75y+15y²+y³
Приложения:

Вас заинтересует
2 года назад
2 года назад
7 лет назад
9 лет назад
10 лет назад
10 лет назад