• Предмет: Алгебра
  • Автор: Аноним
  • Вопрос задан 10 лет назад

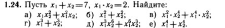
очень легкое задание, даю 100 баллов СРОЧНО

Приложения:

Ответы

Ответ дал: kirichekov
0
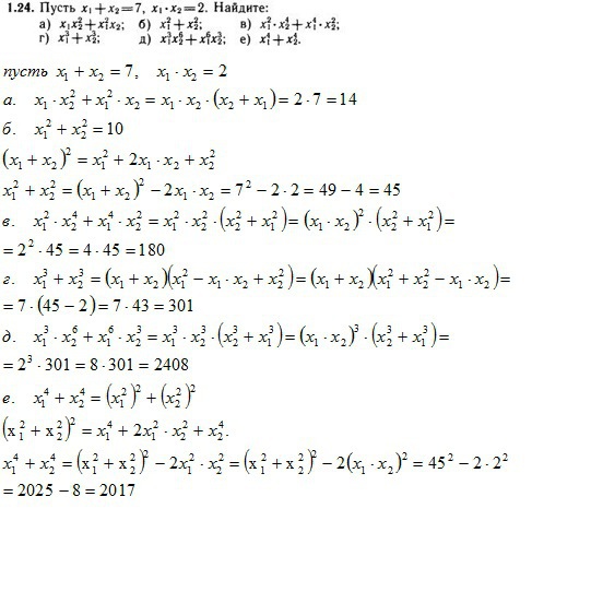
решение во вложении----------------------
Приложения:
Вас заинтересует