Решите показательные неравенства:
1). 3^х+1/3*2^х - 2*3^х (минус) - (другая дробь) 3^х/2^х - 3 ^х > либо равно 0.
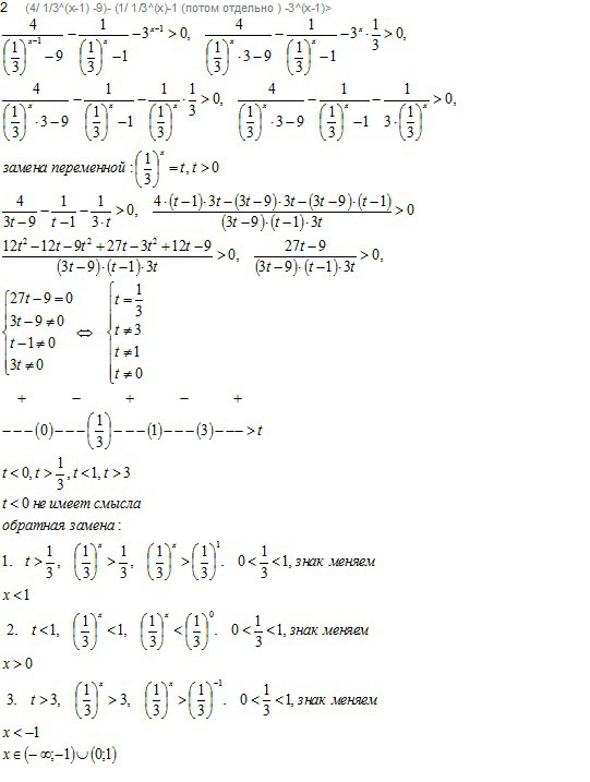
2). 4/(1/3)^х-1 - 9 (минус) -(другая дробь) 1/(1/3)^х -1 -(отдельно) 3^х-1> 0.
Ответы
Ответ дал:
0
решение во вложении-----------------------------
Приложения:


Ответ дал:
0
Все условия верные. )))
Ответ дал:
0
Но без лог сможете дорешать?
Ответ дал:
0
Ну что 2 готово? :)))
Ответ дал:
0
Нужна ваша помощь. На мою страничку срочно
Ответ дал:
0
Нужна ваша помощь.
Вас заинтересует
2 года назад
7 лет назад
7 лет назад
9 лет назад
10 лет назад