Ответы
Ответ дал:
0
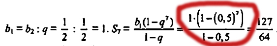
0,5 = 1/2
(1/2)∧7 = 1/128
1 = 128/128
1 = 2/2
(128/128 - 1/128) / 2/2 - 1/2 = 127/128 / 1/2 =127/128 · 2/1 = 127/64
(1/2)∧7 = 1/128
1 = 128/128
1 = 2/2
(128/128 - 1/128) / 2/2 - 1/2 = 127/128 / 1/2 =127/128 · 2/1 = 127/64
Вас заинтересует
2 года назад
2 года назад
7 лет назад
7 лет назад
10 лет назад
10 лет назад