• Предмет: Математика
  • Автор: islam93
  • Вопрос задан 10 лет назад

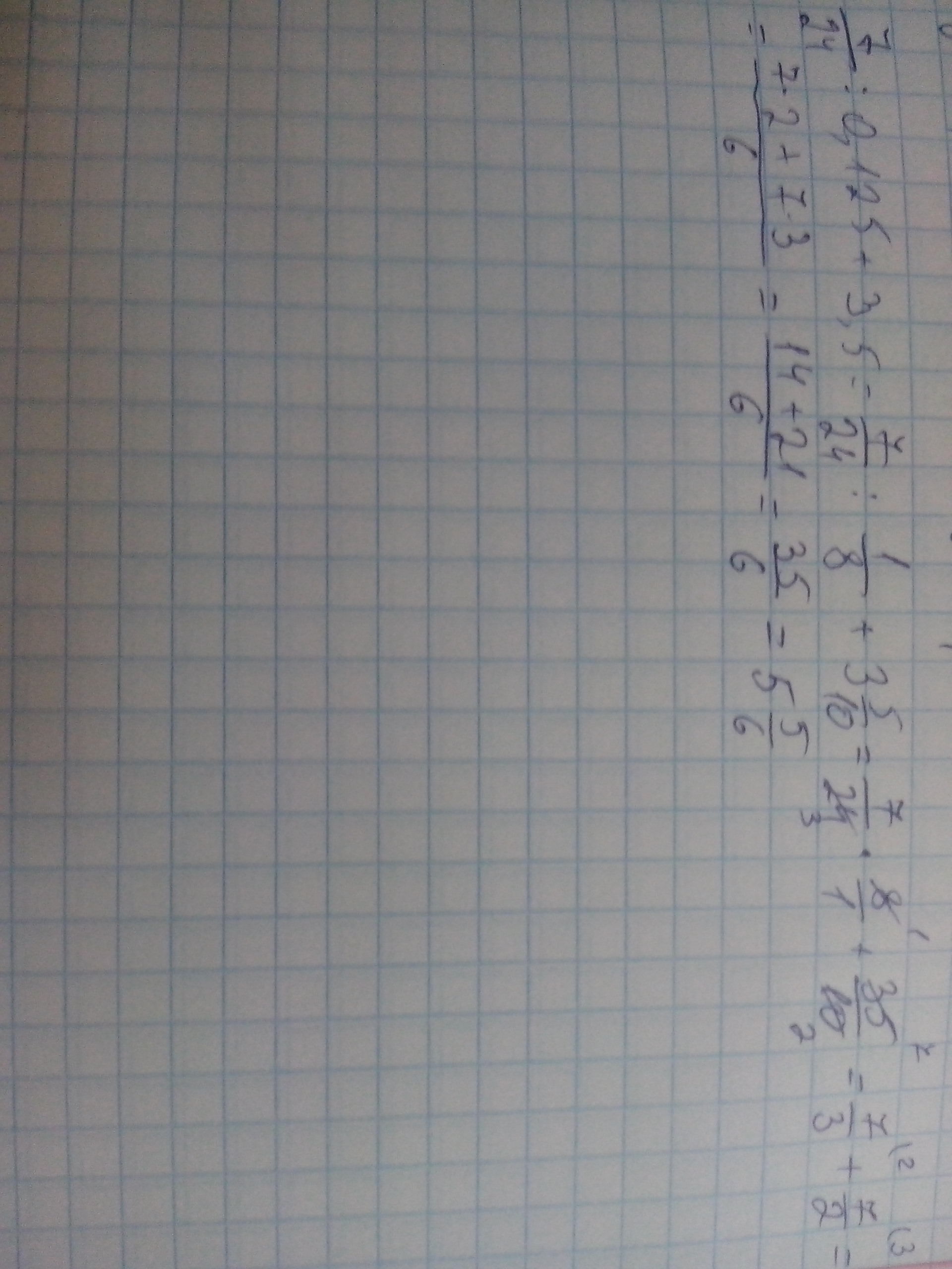
7дробь24 :0,125+3,5 очень срочно с объяснением плиз

Ответы

Ответ дал: kisonix
0
.........................
Приложения:
Ответ дал: islam93
0
ты даже сфоткал так понятно
Ответ дал: islam93
0
спасибо
Ответ дал: islam93
0
а как понять откуда 1/8
Ответ дал: kisonix
0
0,125 = 1/8
Ответ дал: Лиффа
0
7 24/0,125+3,5= 7 24/3,625= 49,375/3,625= 13 2,25/3,625
Ответ: 13 2,25/3,625
Сначала складываем знаменатель, потом издавляемся от целого числа и считаем.
Приложения:
Ответ дал: islam93
0
спасибо вам
Вас заинтересует