Ответы
Ответ дал:
0
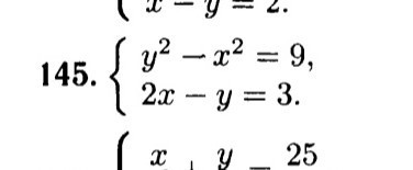
#145
Из 2 уравнения выразим у и подставим в 1 уравнение
у=2х-3
(2х-3)²-х²=9
4х²-12х+9-х²-9=0
3х²-12х=0
3х(х-4)=0
Произведение множителей равно нулю,если хотя бы один из них равен нулю.
3х=0 или х-4=0
х₁=0 х₂=4
тогда
у₁= 2·0-3=-3 у₂= 2·4-3=8-3=5
Ответ: (0; - 3); (4;5)
Из 2 уравнения выразим у и подставим в 1 уравнение
у=2х-3
(2х-3)²-х²=9
4х²-12х+9-х²-9=0
3х²-12х=0
3х(х-4)=0
Произведение множителей равно нулю,если хотя бы один из них равен нулю.
3х=0 или х-4=0
х₁=0 х₂=4
тогда
у₁= 2·0-3=-3 у₂= 2·4-3=8-3=5
Ответ: (0; - 3); (4;5)
Вас заинтересует
2 года назад
2 года назад
8 лет назад
10 лет назад
10 лет назад
10 лет назад