• Предмет: Алгебра
  • Автор: Anastasia190499
  • Вопрос задан 10 лет назад

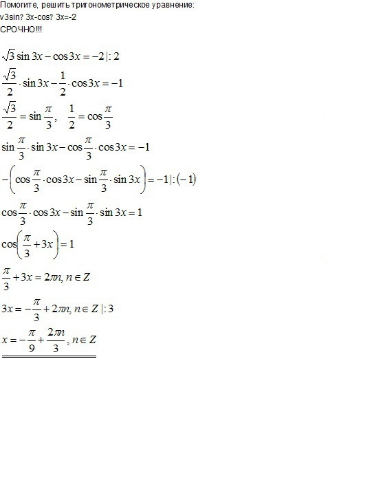
Помогите, решить тригонометрическое уравнение:
√3sin⁡3x-cos⁡3x=-2
СРОЧНО!!!

Ответы

Ответ дал: kirichekov
0
решение во вложении--------------------
Приложения:
Ответ дал: Anastasia190499
0
большое спасибо
Вас заинтересует