• Предмет: Математика
  • Автор: gangsterpys
  • Вопрос задан 10 лет назад

Помогите пожалуйста с решением. Буду очень благодарен.

Приложения:

Ответы

Ответ дал: ahta
0
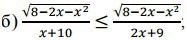
Область допустимых значений: 8-2х-х²≥0, х∈[-4; 2]
2x+9≤x+10,
x≤1 и -4≤x≤2
ответ: x∈[-4; 1]

Ответ дал: gangsterpys
0
а 2 как отдельная точка не включается в ответ?
Ответ дал: ahta
0
да включается!
Ответ дал: gangsterpys
0
да, уже понял, спасибо)
Вас заинтересует