Ответы
Ответ дал:
0
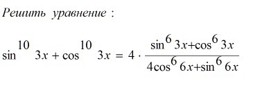
Упростим правую часть уравнения

Т.е. имеем
очевидно, что
.
Складывая неравенства, получаем

Отсюда следует, что

- общее решение уравнения
Т.е. имеем
очевидно, что
Складывая неравенства, получаем
Отсюда следует, что
Вас заинтересует
3 года назад
3 года назад
8 лет назад
8 лет назад
10 лет назад