• Предмет: Геометрия
  • Автор: UltraLorD
  • Вопрос задан 9 лет назад

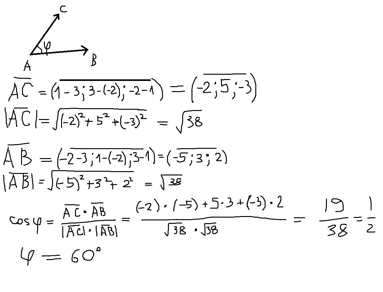
даны точки А (3;-2;1), В (-2;1;3), С (1;3;-2) найдите угол САВ

Ответы

Ответ дал: iknowthatyoufeelbro
0
Решение на картинке.
Приложения:
Вас заинтересует