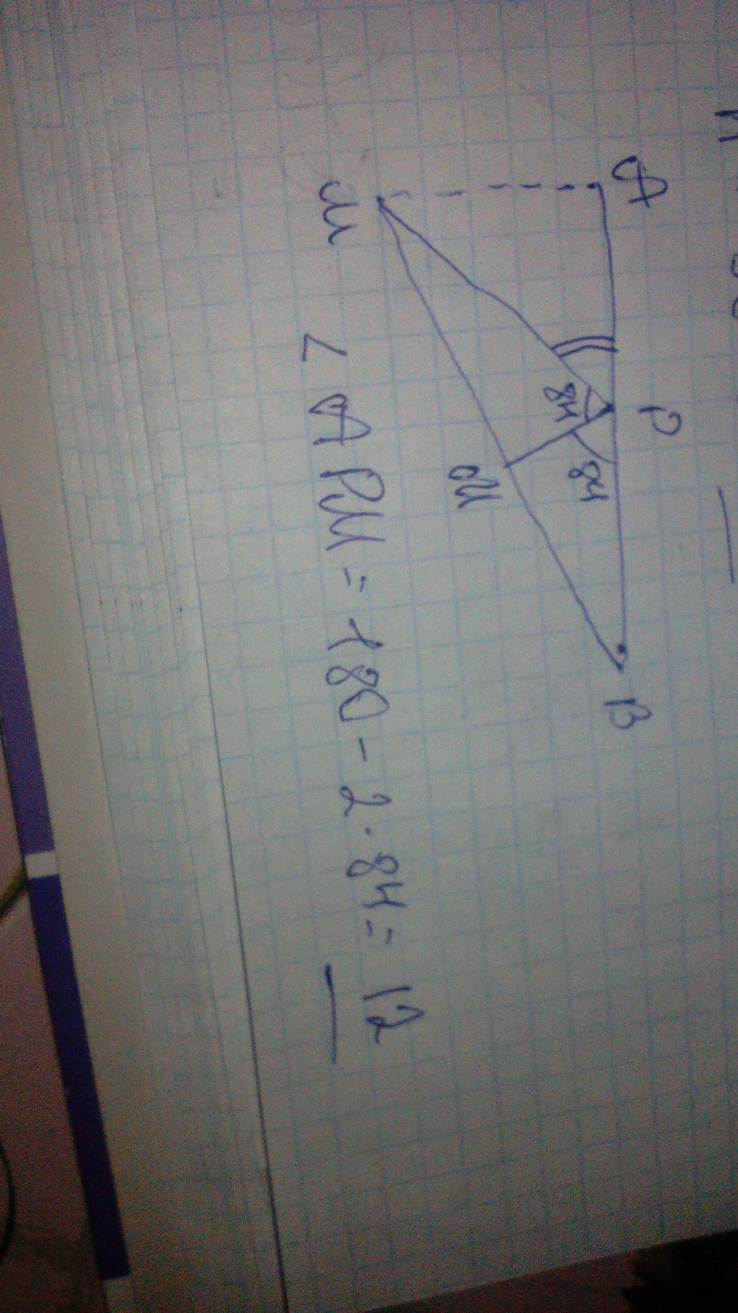
На прямой AB взята точка р луч PN биссектриса угла MPB ИЗВЕСТНО ЧТО УГОЛ MPN=84 градуса найдите величину угла MPA отает дайте в градусах
Ответы
Ответ дал:
0
Ответ внизу..........................................................................................
Приложения:

Вас заинтересует
2 года назад
7 лет назад
9 лет назад
9 лет назад
10 лет назад